前言
在平行链上得到平行链。获得卡槽的前提是先质押代币。我们定义了两种不同类的并行链槽,一种称为社区beta槽,另一种称为商业槽。我们希望为前者预留20%的名额。社区测试并行链将主要由Web3基金会部署或支持。它们相对公平,没有预开挖。其余80%的位置是为商业目的开放的,将通过拍卖方式开放。
拍卖平行槽
我们排除了竞价拍卖的可能性,因为有些投标是通过智能合约提交的。使用智能合约报价也是由于我们考虑促进公平和透明的拍卖程序。我们排除了封闭式拍卖,也不想使用“可以被狙击的拍卖流程”**,我们决定采用烛光拍卖法,并采用回溯成交机制。
在一个固定的窗口开始拍卖后,竞拍者可以发布1-4个租赁期的竞拍,每个租期为6个月。出价成为交易的一个障碍。投标人可提交多个投标书。投标人提交的投标书的租赁期应与其他投标人的租赁期相衔接或相邻。
对于四个租赁期,也可分为10个部分。我们将10个时间段内的每个获胜者存储在指定的数据结构中。我们需要确保新的投标价和同一投标人在另一个时间区间内的投标价格没有差距。如果竞买人是某个租期的王,例如租期1-2,那么他就不能竞拍4,除非有人在租期1-2期间以更高的价格拍卖他。
否则,将忽略该块。在租赁期内,将更新新的中标人并计算新的中标价。新的赢家是通过选择投标组合来计算的。所有投标的租赁期数乘以每个租赁期的投标价格,很高者为中标者。一旦投标被添加到区块中,投标金额将被暂时扣留。

当一系列代表拍卖的区块被产生时,随机数机制将判断前一区块是否为成交区块,并将封闭的资料区块传送给竞价赢家及区块中包含的租期。拍卖失败的拍卖人的投标金(点)将在拍卖结束后以相同的方式返还。
有1-3个投标人,B1、B2和B3
例如,有一群拍卖师想要竞拍一些位置。投标人1提交(1-4,75点),从第一阶段到第四阶段投标75点(每六个月代表一个租赁期)。总标价是300点。投标人2提交(3-4,90dot)(一个插槽的第三、四期投标,即下一年的卡槽使用权),投标人3(1-2300点)(表示只对一个插槽的第一期和第二期进行投标,即B2和B3的加权总投标价为240点(90*2+30*2),每个租赁期的平均投标价格为60dot(240dot/4=60dot)。相比之下,B1在每个租赁期的投标价格为75点,远高于B2和B3。因此,B1拥有所有租赁期(1-4)。

分析
如果竞买人有一个固定的价格,价格是公开的,我们可以采用英国拍卖;如果只有一个客观的估价金额,但没有披露,则可以使用维克瑞拍卖。两次拍卖都有弱的主导策略,**的竞拍者能做的就是真实地评估自己的估价。
与英国拍卖相比,我们的拍卖形式有两大区别:
(1) 蜡烛拍卖会有一个总的结束时间,
(2) 允许每个投标人的定价公开与否。
公平
这里的公平性是指在蜡烛拍卖机制中,竞价较高的买家的中标率将高于其他拍卖商的中标率,因此在一个随机结束时间的拍卖机制中,所有拍卖商中出价很高的人都可以中标,而较高的中标率可以通过投标差价来估计。
用一个随机的结束时间来模拟真实的蜡烛拍卖。当蜡烛被随意吹起,就意味着拍卖结束了。因此,随机截标时间也意味着竞拍者应在预计的拍卖结束时间之前谨慎地提交投标书。这种机制还可以防止拍卖中的狙击。
否则,随机结束的拍卖机制不会损害不公开竞价的拍卖人的公平性。蜡烛拍卖是一个相对公开的拍卖过程,对它来说是一个相对公开的拍卖过程。在拍卖随机结束、拍卖人谨慎竞价的情况下,拍卖破坏人也需要承担较高的成本风险。Griffing指的是以高于估价的价格投标,以迫使胜出者支付更多。
我们想提出一个智能合约策略,在合理假设下,每个人的出价不会超过他们自己的**估值。在epsilon均衡(也称为近似纳什均衡,参考算法博弈论)的情况下,几乎占优的博弈策略可以满足一些定义明确的epsilon因子中Nash均衡的存在。通过跟踪发现,高于评标价的投标(即恶意破坏投标的意图)给投标者带来了损失的风险。
智能合约的投标策略
我们希望能找到一种策略,能**限度地减少智能合约相对于私人招标的投标机制的缺点。
让我们假设有一个出价者对拍卖产品有一个出价(估价),也就是说,平行链槽。我们想通过把a设为涨价来找到一个

制定战略SP投标人P如下。如果满足以下两个条件:
在**一个街区,P没有赢,
对于中标,B,**一块保留
然后在下一个街区叫P


如果满足以下两个条件:
N是区块数,也代表拍卖总轮数
选择阿尔法提价幅度,在避免多付和增加中奖机会之间进行权衡。当拍卖轮数n较大时,价格上涨幅度a可以很小。当拍卖总轮数n相对较少时,价格上涨幅度a需要较大。较大的阿尔法加价可以增加中奖的机会,但可能会给中奖者带来不必要的超额支付。接下来,我们首先描述智能合约的中标机会和效用,然后利用区块总数来计算价格上涨α,以评估**一个区块P和所有其他竞标者的很高价格。
中标概率
假设:最多的时候

代表拍卖总轮数的区块。
P没有赢,

假设总共有n个区块,我们要计算满足以下条件时P获胜的概率:
如果没有人竞拍他们自己的出价
其他很高出价和低于P的出价低于P
P获胜的概率至少如下:


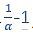
式中(1/a-1)为P投标失败的概率。如果V(1-A)>Vmax,那么p将以更高的概率获胜。
为任何投标人编程
现在,假设P赢了。它要多少钱?它的效用是什么?
一旦P在拍卖中获胜,其效用指的是竞买人与当前奥迪的实际价值相比节省的金额。该实用程序的定义如下。
号
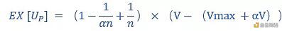
如果P中标,则效用为av
式中,B是拍卖结束时的中标价。P需要支付的最重要的东西是Vmax+AV。P的预期节省至少等于P获胜的概率乘以P的**成本。

我们将期望效用与v-vmax进行比较,v-vmax是确保效用P能够抵抗其他拍卖策略的**结果。我们需要把这两者区别开来以便找出答案

以确保中标人至少能让拍卖人节省一些不必要的开支。
接下来,我们将探讨纳什均衡。
文章标题:并行链拍卖设计与智能竞价策略
文章链接:https://www.btchangqing.cn/100026.html
更新时间:2020年09月08日
本站大部分内容均收集于网络,若内容若侵犯到您的权益,请联系我们,我们将第一时间处理。