为了将固定利率借贷引入到DFI的现场协议中,ETHereum刚刚发布了一个beta版本。它会带来什么新的方式?
这篇文章发表于今年6月。重读本文可以帮助您更好地理解yield协议的运行机制和应用潜力。
签署人:leftofcenter
a6021和
的**密码投资基金paradox的分析师丹·罗宾逊(Dan Robinson)去年夏天发表了一篇论文,并提出了一个名为“收益率”的协议框架。基于此框架,可以在以太坊区块链上发行零息债券的加密货币版本“ytoken”
「易通可向以太坊推出「定期定息贷款」,以满足不同借款人的风险偏好需求。作为去中心化金融热潮中发展最快的一条轨道,到目前为止,各贷款平台提供的贷款产品都不能有固定期限和利率,都是浮动利率,利率差别很大,但由于分布式金融的兴起和金融市场需求的多元化,利率互换已成为一种新的需求。因此,一系列相关的新产品应运而生。例如,基于AMM的链上利率互换协议rho可以为复合利率提供固定利率交换金融,可以将复利利率互换为固定利率,而达尔玛第二代产品也基于复利协议进行利率互换,改变了复利的浮动利率变成固定利率。此外,“ytoken”作为一种全新的DeFi原语,还可以构建特定代币的利率曲线,为makerdao、dydx、compound等DeFi平台提供利率预测机,甚至通过投机(多头或空头)获利。
就在最近,一个名为yield的团队已经开始将白皮书付诸实践。目前,团队正在开发基于“收益率”框架的**产品“ydai”,其CEO艾伦·尼伯格在原白皮书的基础上,提出了一个新的思路:在原有现金实物结算方案的基础上,提出了新的复合资产结算方案,可以无缝解决复合资产无需预言机和拍卖的结算体验。
同时,yield团队也获得了加密投资基金范式资本的认可,并获得了后者的种子轮融资。该项目也将成为加密投资基金天堂资本的**孵化项目。
ytoken号称是以太坊乐高组件的关键组件,其潜力何在?它会给DeFi生态带来什么样的可能性?如何在不存在清算风险的情况下,利用自动做市机制做空标的资产?其运作的基本原则是什么?要想找到这些答案,请听连文对白皮书的解读。
伊顿到底是什么?
简单地说,ytoken是“零息债券”的加密货币版本。零息债券呢?
一种债券可以在到期时以低于债务面值的折扣出售,但仅限于债务面值的折扣。这意味着,如果你在到期日赎回,你可以获得比购买价格更高的价值,从而获得利润。在零息债券中,买方借入目标资产(相当于借出法国货币),并获得一段时间的利息。利息是票面价值和实际购买价格之间的价差。
一般来说,隔壁老王给了你一张面值100元的白条,然后你只借了90元现金给老王。白钞过期后,老王用100元赎了他,把白钞给了你。这个时候,到期后可以拿到10元的利差,这就是利息。
零息债券可以为借款人提供稳定的收益,满足偏好稳定收益的投资者的需求。
在以太坊的去中心化金融中,也需要这样的金融工具。众所周知,以太坊上知名的稳定币协议makerdao允许用户将稳定币作为抵押品进行存贷款,为交易员和投资者提供了一系列潜在的使用案例。但对于makerdao贷款人来说,必须支付浮动的年利率。数据显示,马克尔道利率波动较大。makerdao的稳定费一度高达20.5%,**的只有0.5%。
在非生态环境下,我们需要一种固定利率贷款的实现方法,以满足借款人实现固定利率贷款的需求,从而使我们能够更加自信地借款,并对未来的投资成本做出合理的预测。这是收益率正在发展的交易的特点之一——发行象征性的零息债券。
Ytoken是基于以太坊区块链的零息债券代币,相当于有到期日的合成金融资产。作为ERC20标准的象征,ytoken本质上是一种基于以太坊的零息债券。与传统金融不同,ytoken可以定制并链接到以太坊上的任何目标资产,例如ydai(与Dai相对应的零息债券代币)或yETH(对应于ETH的零息债券代币)。
以ydai为例,ytoken可以表示:基于ETH抵押品,持有人(买方)可以在特定到期日交换Dai的股权。对于买家来说,Dai的浮动利率可以通过收益率在一定时间内变为固定利率。
对于铸造厂(卖方),ydai通过存放抵押品(如ETH)创建,目标资产Dai在出售后获得。这个过程相当于借用目标资产Dai。如果目标资产的Dai价格上涨,待偿还债务的价值将上升,因此保险库中抵押资产的价值将下降。如果相反,即Dai价格下跌或抵押资产ETH价格上涨,铸造厂可以出售Dai做空或对抵押资产ETH进行长期套利。
如果代工预计未来一段时间内标的资产戴的价格会下跌,他可以通过卖空戴来获利。如果铸造厂对未来抵押资产ETH的价格上涨持乐观态度,也可以通过杠杆方式增加敞口:交易者可以出售ydai,购买更多抵押资产来生成ydai,并重复操作以获得数倍于抵押资产的杠杆率。这相当于增加了抵押资产的长期敞口(相对于目标资产的短期敞口),当然,也增加了清算风险。
怎么演伊顿肯?
在了解了ytoken的基本原理之后,我们来看看如何铸造ytoken。
以ydai的**应用为例,代币作为一种股权凭证,允许借款人抵押ETH发行不同赎回期的ydai。赎回期限可设定为一周、一个月或一年。
任何具有特定术语的ytoken都需要在开始时部署特定的智能合约。以ydai为例,首先部署ydai智能合约,它主要基于目标资产、抵押资产、到期日和抵押利率四个参数。例如,您可以设置ydai:ETH抵押支持,到期日:2020年12月31日11:59 PM,抵押率为150%,目标资产为Dai。
部署合同后,任何人都可以将抵押资产ETH存入合同的保险库(类似于makerdao的保险库)并铸造ydai。每铸造一个新的伊岱将增加金库的债务,摧毁伊岱将减少债务。特定保险库的债务不得超过其抵押品加上保证金的总额,否则将被清算。合同期满后,ydai可以用来交换合同中有面值的资产。合同中不同保险库生成的ydai是同质的,因此可以出售和交易。
铸造和出售ydai的人就像借款人一样:作为造币者,他们将ETH抵押品存入cast ydai,然后出售并借入目标资产Dai。
买方为标的资产Dai的贷款人:Dai通过收购ydai借出。
在上述情况下,面值为1的ydai可仅以0.97 Dai购买,持有人即贷款人可在到期日将其转换为面值为1dai的1dai,从而获得0.03 Dai的固定收益。
了解利率预测机和利率链上的利率曲线
同一目标资产但期限不同的ytoken是同质代币,这意味着它们可以在市场上自由交易,价格可以根据供求关系自由浮动。一般来说,它们在到期前会以面值的折扣进行交易。因此,根据市场交易价格可以推断出不同到期日的年利率。
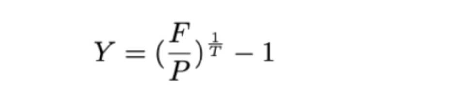
结合贴现价格和到期时间,我们可以推断购买伊顿并持有至到期的年化利率。扣减方法与按零息债券价格计算利率类似,即按
计算,其中y为ytoken年化收益率,f为面值,P为现值,t为到期年数:
如果票面价值为1美元的债券在3月份到期,当前价格为0.97美元,根据上述公式,年利率约为13%。
该利率可作为目标资产的即期利率指标,为做市商、复地、dydx等贷款协议平台确定一定时期内的支付利率提供参考。如果价格可以在链条上确定,也可以用来结算链条上的利率衍生品(如掉期)。
此外,这些数据还可以反映市场预期,即利率在短期内会如何变化,这就是利率的期限结构。在实际案例中,结构还受到其他因素的影响,包括流动性或智能合约的可感知脆弱性风险。
对于同一目标资产的不同到期日,可以计算出ytoken的隐含收益率,并生成收益率曲线
这些收益率曲线可作为做市商、复合和dydx贷款协议平台治理的参考。同时,还可以为交易者和分析员在投资操作和经济决策中提供必要的信息。
一种新的利率套利方法
上述利率曲线可以反映出市场在特定时期内对目标资产利率的平均预期,但如果他们不同意这些预期,市场参与者就可以从中获利——ytoken的另一个用例:对未来利率的投机。
以ydai和chai(一种封装在Maker的存款合同中的ERC-20代币,可以通过存储DAI来产生利息收入),用户可以用chai作为抵押品来铸造ydai。由于Chai是一种将Dai封装在DSR浮动利率中的智能合约,持有Chai意味着拥有DSR的用益权。因此,对于借款人来说,可以获得持有柴的DSR浮动利率,同时支付ydai的固定利率。
如果交易者认为未来柴的浮动利率会高于支付给易代的固定利率,并且对自己的预测有信心,可以通过多次卖出易代来获得柴和杠杆,进行投机套利。
相反,如果交易者认为在未来一定时期内,易代的固定利率会高于柴的浮动利率,则可以将易代抵押给易才进行投机性套利。在这种情况下,借款人(铸造厂)可以获得抵押物ydai的固定利息,并向ychai买方支付Chai的浮动利息。
Uniswap自动做市机制可为伊顿提供杠杆流动性
如果要通过市场交易构造利率曲线甚至利率预测机,一个条件是ytoken必须具有流动性。由于DeFi的可组合性,可以集成这样的Uniswap自动做市平台,为ytoken引入流动性池。
新发布的Uniswap V2版本支持任何ERC20和ERC20事务对,这意味着ERC20及其基础资产(如果它们也是ERC20标准)的流动性可以通过Uniswap提供,例如ydai/Dai。
对于做市商来说,他们通过为特定的ytoken交易对提供流动性来赚取交易费用,而且由于这些资产到期时的价格可以粗略预测,因此波动性造成的套利风险将小得多。以ydai为例,在保证代币的情况下,一定数量的Dai将被兑现,这使得ydai/Dai流动性代币的未来价格具有可预测性。
此外,傣族/伊岱池可用于侧方铸造伊岱。换句话说,交易者可以将ydai和Dai交易对注入Uniswap基金池,以提供流动性。以基金池的储备为抵押,反复投放ydai,通过杠杆作用进一步扩大资产规模,反复做多流动性储备。由于代/易代基金池风险系数较小,清算风险很小。
此外,还有更多可配置的自动做市商,可以从简单地支持交易ytoken扩展到casting/destroining,或者使用不同期限的ytoken进行套利交易。
了解结算机制
对于零息代币ytoken来说,最重要的一个环节就是结算机制,即到期后如何确定以统一的价格结算。
在ytoken系统中,不同的目标资产有不同的结算机制。结算机制有四种,即现金结算、实物结算和新增复合资产结算。此外,在复合资产结算机制基础上衍生出了一种普适结算机制,适用于各类DeFi贷款平台支持的资产对结算。
1现金结算
现金结算,更准确地说,是用抵押资产结算。作为一种结算机制,该机制的前提是有一台准确的价格预测机,用抵押资产对目标资产进行估值。
在这种机制下,ytoken持有人可以在到期时以等值票面价值赎回抵押资产。到期后,任何人都可以调用代币合约的功能触发结算,然后调用相应的预言机,搜索以抵押资产定价的目标资产的价格,作为结算价格存储。之后,任何人都可以用结算价将伊顿肯转换成一定数量的等值抵押品。此外,任何金库的所有者都可以在债务还清后提取抵押资产。
这种结算机制的优点是可以支持任何目标资产(不限于ERC20)。缺点是结算时需要精确的价格预测机。
2如果目标资产是ERC20格式的代币,则ytoken可以使用实物进行结算,这意味着ytoken持有人将与目标资产进行结算。
这种结算机制主要通过拍卖实现。对于每个有未偿债务的金库,抵押资产可以通过荷兰反向拍卖出售以偿还债务。
假设一个到期的金库有1以太坊的抵押品,需要偿还100码的债务。协议可以从0.01以太坊/100代币的初始报价开始,然后逐步提高价格,直到被接受为止。Dai将分发给需要赎回的ytoken持有人,剩余的抵押品将返还给保险库的创建者。
这种机制相对于现金结算的优势在于,假设拍卖成功,每个ytoken都将得到目标资产的完全支持,而不是一定数量的抵押资产。这意味着易通持有人可以在不进行任何操作的情况下维持对目标资产的相同敞口,并且可以随时进行交易。
然而,这一机制不允许借款人在到期后维持其债务状况,在拍卖后只留下剩余的抵押品。
3综合资产结算
是修订后白皮书中的一项新内容,可以保证不需要预言机和拍卖就能无缝解决合成资产的结算经验。
具体而言,当亿创的标的资产为抵押复合资产时,如Dai,到期时,采用目标复合资产的发行机制进行结算。
具体来说,当ydai代币到期时,协议将收益金库中的ETH抵押品发送给makerdao vault,并根据抵押品重铸Dai,以满足ydai持有人赎回目标资产Dai的需求。
此时,ydai的持有人可以赎回Dai,协议将从Maker处借用Dai并支付给转换器。借款人仍有能力维持其债务状况,但从这一点开始,它将从支付固定利率改为浮动利率,这将被同意用于支付戴相龙向创客借款的稳定费用。在借款人让戴相龙结束债务头寸之前,协议还将偿还Maker的债务,借款人将收回抵押品。
如果ydai持有人选择持有而不兑现,则协议开始以浮动利率向ydai持有人支付利息。在这种情况下,在ETH支持的ydai到期后,协议将开始向借款人收取ETH的创客稳定费,并向ydai持有人支付DSR。
从另一个角度看,其机制是在到期后,用户的固定利率息托头寸转为浮动利率债券。
这种机制的优点是,借款人和贷款人在到期后可以继续持有其先前的头寸,而不会被关闭。不同的是,支付浮动利率而不是固定利率。
4基于借贷平台的
结算机制更进一步。上述针对maker等合成资产平台的结算机制可以推广到支持在各种DeFi贷款平台(如复合)上提供浮动利率贷款的资产对的结算。
例如,一个ytoken到期后,协议将以复合物为基础结算。在结算时,ytoken协议向Compound发行抵押品,以借入目标资产进行结算。之后,借款人支付贷款利息复利,直到债务还清,债务头寸结束。贷款人可获得以复利方式支付的贷款利息,直至ytoken转换为相应的ctoken。
因此,ytoken可以与其他贷款协议建立桥梁,这些协议通常允许基于基础资产的目标资产组合敞口,无论是通过铸造还是借款。只要风险敞口密切跟踪目标资产到期后的市场价格,那么到期前的ytoken价格就可以反映目标资产/抵押资产对的实际收益率曲线。
来源:
http://research.paradigment.xyz/Yield.pdf
https://twitter.com/danrobinson/status/11697255955082620929
文章标题:由defi范式培育的加密型零息票债券ytoken的可能性有多大?
文章链接:https://www.btchangqing.cn/125943.html
更新时间:2021年06月12日
本站大部分内容均收集于网络,若内容若侵犯到您的权益,请联系我们,我们将第一时间处理。