撰文:ZkSwap 小白
在上一篇 ZKSwap 团队解读零知识证明 PLONK 电路 主要描述了 PLONK 协议里的一个核心部分,用置换校验的方法去证明电路门之间的一致性;接下来,将继续分享如何证明门的约束关系的成立,以及整体的协议分析。
门约束
举个简单的例子,假如存在一个电路,电路中仅有 3 个乘法门,对应的约束如下:
L1 * R1 – O1 = 0
L2 * R2 – O2 = 0
L3 * R3 – O3 = 0
进行多项式压缩:定义多项式函数 L(X)、R(X)、O(X) 满足:
L(1) = L1, R(1) = R1, O(1) = O1
L(2) = L2, R(2) = R2, O(2) = O2
L(3) = L3, R(3) = R3, O(3) = O3
此时,定义新的多项式函数 F(X),令 F(X) = L(X) * R(X) – O(X)
则有:
F(1) = L(1) * R(1) – O(1) = 0
F(2) = L(2) * R(2) – O(2) = 0
F(3) = L(3) * R(3) – O(3) = 0
也就是表明:如果多项式函数 F(X) 在 X=1、2、3 处有零点,则说明门关系约束成立。
多项式函数 F(X) 在 X=1、2、3 处有零点则表明多项式 F(X) 可以被 (X – 1)(X – 2)(X – 3) 整除,为了和论文一致,我们把这个多项式函数设置成 Z(X),即:
F(X) = T(X) * Z(X) ==gt; T(X) = F(X) / Z(X)
如果能证明 T(X) 是一个多项式,则说明多项式 F(X) 与 Z(X) 有相同的零点,进而说明门约束关系成立。
一般过程应该如下:
1. P 计算 F(X) 并把 F(X) 发送给 V;
2. V 根据 Z(X) 直接校验 F(X) / Z(X)
但是如此过程存在两个问题,一个是复杂性问题,假如 F(X) 的阶为 n,那通信复杂度就是 O(n);而是安全性问题,多项式 F(X) 完全暴露给 V。
那应该如何解决这两个问题呢?**的答案可能就是:多项式承诺
多项式承诺
什么是多项式承诺?就是证明方 P 用一个很短的数据来代表一个多项式 F,这些很短的数据可以被验证方 V 用来验证多项式 F 在某一点的值确实为证明方 P 声称的值 z。
具体看一下论文里的定义:

由图可知:
1. Setup:初始化,生成计算多项式承诺需要的一些必备参数;
2. Commit:计算多项式承诺,其结果是一个值;
3. Open:返回与多项式承诺对应的多项式函数;
4. VerifyPo:验证多项式承诺是否和多项式函数一致;
5. CreateWitness:证明多项式函数在某一点的值是否是证明方 P 声称的值,具体的数学方法就是:判断多项式是否能被整除,即:
6. VerifyEval:验证方 V 验证多项式函数在某一点的值是否是证明方 P 声称的值,具体的数学方法是:利用双线性配对验证其数学乘法逻辑关系。
继续回到我们上面的问题:
证明方如何证明:T(X) = F(X) / Z(X),我们再简化一下场景,就令 Z(X) = X – 1,则 :
T(X) = F(X) / (X – 1) ==gt; T(X) * (X – 1) = F(X) ==gt; T(X) * X = F(X) + T(X)
对应多项式承诺的协议可知:证明方 P 其实是想证明多项式函数 F(X) 再 X = 1 处的值为 0,因此根据协验证方只需要证明:
e(Commit(T(x)), x*G) =? e(Commit(F(x)) +Commit (T(x)), G) (双线性配对的性质)
可以看出,利用多项式承诺的数学工具,既可以实现复杂度的优化,又可以实现隐私保护。
协议
接下来分析一下完整的 PLONK 协议:
Relation

上图表示了 PLONK 算法里,要证明的一种关系,需要说明的是:
1. w 代表着电路里的输入、输出,总共 3n 个,n 是电路里乘法门的数量,每个门都有左输入,右输入和输出,因此 w 总共有 3n 个;
2. q* 代表着选择向量,它的取值对应这这个是乘法门,还是加法门等类似的约束类
3. σ 代表着置换多项式,其表示门之间的一致性约束索引
4. 倒数第一个公式代表 门之间的约束成立
5. 倒数第二个公式代表 门的约束关系成立
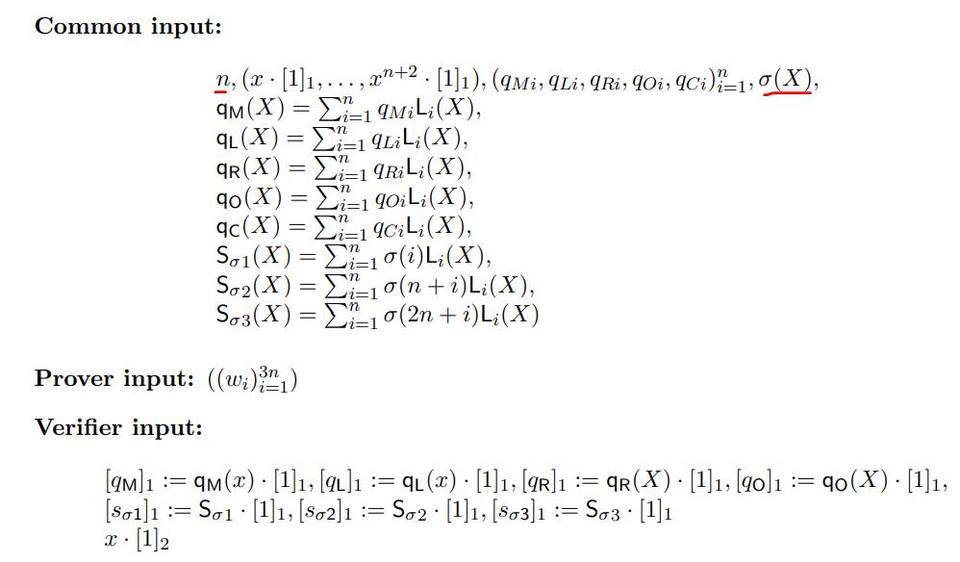
CRS AMPL P_Input AMPL V_Input

上图表示了 PLONK 算法里的 CRS 设置,以及证明方 P 和验证方 V 的一些输入,需要说明的是:
1. 整个协议都是基于多项式的,因此需要构建对应的多项式形式。
2. 多项式σ的阶是 3n 的,由于和多项式承诺相关的 CRS 很高的阶位 n+2,因此需要把σ拆分成 3 个多项式 S, 分别记录每个多项式的置换关系 (L、R、O);
3. 为了减少通信复杂度和保护隐私,协议基于多项式承诺构建,因此验证方 V 的输入都是承诺值。
Prove

上图表示了 PLONK 算法里证明方的一些操作,需要说明的是:
1. b1…b9 是随机数,从用法看是为了安全,但是我暂时也没明白,不加这个随机数,又会有什么安全问题?
2. a(X)、b(X)、c(X) 分别是代表了电路里的左输入,右输入和输出
3. [a]、[b]、[c] 表示多项式的承诺值,参考多项式承诺小节里的承诺计算方法

上图表示了 PLONK 算法里证明方的一些操作,主要是置换校验,参考第一篇的置换校验的协议过程,生成多项式 z(X),需要说明的是:
1. β和ϒ都是用来生成置换校验函数的参数,详见第一篇里 f(x) 和 g(x) 的生成过程;
2. z(X) 的生成方式对应置换校验里跨多项式的生成过程,Li(X) 为拉格朗日多项式基,性质满足,尽在 x=i 的时候为 1,其他为 0;
3. 注意区分ω和 w,ω是群 H 的生成元,是多项式的自变量的取值。w 是电路的左输入,右输入和输出,是多项式 L,R,O 在在群 H 上的取值。

上图表示了 PLONK 算法里证明方 P 的一些操作,主要是把门约束和门之间的一致性约束组合到一起,通过α,需要说明的是:
1. 根据前面的描述,门约束多项式和一致性约束多项式在群 H 上的所有元素都是取值为 0 的,因此都会被多项式 ZH(X) 整除,等同于上面所述的 T(X);
2. 因此,证明方只要能证明整除的结果的确是多项式,那就能证明,门约束多项式和一致性多项式在群 H 所有元素上取值为 0,即所有约束关系成立,即电路逻辑成立;
3. 可以知道的是 t(X) 的阶很高为 3n,但是用于计算承诺的 CRS 只到了 n 的级别,因此需要把多项式 t(X) 拆分,然后单独计算承诺值。

上图表示了 PLONK 算法了证明方 P 的一些操作,主要根据多项式承诺的协议,前面 P 算出了多个多项式在点 x=z 处的值是多少,现在要用多项式承诺协议去证明,这些计算是正确的,需要说明的是:
1. 为了减少验证方 V 的操作复杂度,t(X) 的分子部分 r(X) 在 x=z 处的值,P 计算好,然后验证方直接验证,其他的操作类似;
2. v 的值看起来是为了更安全;
3. Wz(X) 对应多项式协议里的 CreateWitness 操作,证明这些多项式 r(X),a(X),b(X) 等在 x=z 处的值确实等于 r,a,b 等,对 Wzw(X) 同理,并返回承诺值。
Verify
至此,证明方 P 的所有操作都完事了,接下来都是验证方 V 的操作。

上图表示了 PLONK 算法里验证方 V 的一些操作,主要重新生成相关的参数,确保证明方 P 没有作恶。需要说明的是:
1. 从输入看,比较清晰,就是一些公开的输入和证明方 P 的证明输出;
2. 根据输入,生成置换校验过程中需要的一些参数

上图表示了 PLONK 算法里验证方 V 的一些操作,对于一些公开的,并且计算复杂度很小的多项式,其在 x=z 处的值还是需要自己计算,更为方便。需要说明的是:
1. 根据证明方 P 的过程来看,验证方 V 的核心工作就是验证两个多项式承诺;
2. 两个多项式承诺验证需要两个配对,可以通过一个参数组合成一个配对,即μ;
3. 在验证前,先计算 Wz(x),Wzw(x) 的分母在 x=z 处的值,两部分,减数和被减数,分别对应 [F]、[E]。μ作为系数的,就是对应 Wzw(X) 多项式的。
4. **通过一个双线性配对操作完成两个多项式承诺的验证。
结束
至此,PLONK 算法的协议原理已全部分享完成,公式很密集,但是细分下来,又很有层次感。能坚持看完,已实属不易。
各位读者有什么不同的见解,还请指教,谢谢。
来源链接:zks.org
文章标题:ZKSwap 团队解读零知识证明 PLONK 协议
文章链接:https://www.btchangqing.cn/185430.html
更新时间:2021年01月26日
本站大部分内容均收集于网络,若内容若侵犯到您的权益,请联系我们,我们将第一时间处理。