2020 年无疑是 DEFI 加密交易所快速增长的一年,随着 Uniswap 等 DEFI 头部平台推出一个更加具有弹性和深度的版本,使得市场对 DEFI 项目的热情达到了**。DEFI 市场参与者开始认为一个完全去中心化的金融时代已经到来,中心化交易已经是上个时代的遗物,但是根据新数据显示,完全中心化的交易所币安单日很高交易量曾突破 800 亿美元,相比而言领先的去中心化交易所 Uniswap 历史交易量才在 2020 年末突破 500 亿美元。其根本原因在于目前完全去中心化的交易所依赖的 AMM 模不够完善、喂价机制不够健全、Gas 费用依旧高不可及,因此 Konomi 团队认为基于目前的现实状况,一个完全的去中心化的交易平台并不是 Swap 市场的**解,DEFI Swap 市场的现阶段**解是一个立足于 DEFI 思想设计,能够在未来时机成熟时改变成一个完全去中心化的交易平台,同时在现阶段某些步骤上还是应用现有中心化交易所成熟手段的一个 Swap 平台。下面将会给大家具体介绍 Konomi 团队将会在近期推出的 Konomi Swap 的设计思路与预期产品。
1. 代币流动池
首先,与传统 DEFI 项目相似,Konomi Swap 平台也会拥有一个代币流动池。Konomi 的代币流动池将分为两个部分,分别表示不同的代币。在 Konomi Swap V1 版本中预计将会仅支持 DOT 与 ERC20 代币的交换,在 V2 版本中我们预计将加入 ERC20 与 ERC20 之间的兑换。但与 Uniswap 等平台不同,Konomi 将不会允许用户自己随意在平台上推出 Token 交换的流动池而不依靠任何权限。因为这种随意推出 Token 的做法将会使得许多投机者制造许多“假的” ERC-20 Token,这些 Token 通过投机者的精心包装让其看似与真实的 Token 相同,诱导投资者交易,然后通过 Swap 平台倾销自己假的 Token。
目前 Uniswap 等平台基于完全去中心化的产品设计思路要求用户自己承担鉴别交易池中的 ERC20 代币是否是虚假,但是 Konomi 平台认为用户作为使用者不应该承担此类风险,一个良好的平台应该保证自己的产品是“合格”的,一个充满“劣币”的平台最终结果一定是“劣币”驱逐“良币”。基于此,Konomi 平台将会要求用户在创建交易池的时候向平台的抵押池中注入一定比例的 KONO,如果该资金池在未来涉嫌欺诈等非法行为,平台将会有权利没收 KONO 以补偿投资者。如果未来区块链的身份认证系统能够进一步完善,能够证明该资金池的创建者拥有良好的信誉,则可取消这一步骤让该用户能够自由创建资金池。
2. 基本模
Konomi 平台依然会使用目前 DEFI 市场上最被广泛使用的 AMM 模式,基本模依旧会选用目前被大家最广为接受的恒等积模,选择此模的关键并不是此模是最完美的,而是看重此模的一个知名的优点能够提供无限的流动性(具体推导将会在附录中给出)。但是任何的金融模都不是完善的,能够给与无限流动性的代价便是此模也会带来交易滑点和潜在损失(具体推导将会附录中给出)。
首先,我们来谈谈无限流动性为什么如此重要,流动性是一切 Swap 行为的基础。如果一个交易所(不管是中心化还是去中心化的)没有流动性支撑将会如同人没有水一样被渴死,任何一次的 Swap 行为可以将其看作一次提供流动性和消耗流动性的过程,中心化的市场将其形象的形容为使得“**限价 / 很高限额变得更薄”而非中心化的交易市场可以把其形容为将活水从一个池子转移到另外一个池子的过程。而恒等积模最让人着迷的地方就在于提供了一个永远无法注满的水池从而解决了传统中心化交易所交易委托账本便薄的问题。
但是,金融市场中永远不会存在免费的午餐,无限的流动性将会带来交易滑点和潜在损失问题。 根据 Peanut.trade 数据显示,去年 10 月仅一个月 Uniswap 的滑点总损失超过了 6600 万美元,高出同期手续费 3.5 倍,其中,WETH/CBIX7 交易对滑点超过 30%,也就是说用户每笔交易多支付了约 9800 美元,而****的 WETH/USDT 交易对总滑点接近惊人的 700 万美元。针对此问题,Konomi 团队将会考虑在主流交易对中使用“流动性放大”机制来改善此状况,简单来讲,通过此机制流动性将会被聚焦于特定的范围内,Konomi 平台将会与我们的合作伙伴 Chainlink 一道运用价格预言机动态更新流动池中定价曲线,使得资产价格能够跟踪市场价格从而降低滑点,当然,滑点不可能被完全消除(如果消除了套利者便不会存在激励)。
我们再来讲针对潜在损失问题,作为流动性提供者,由于目前的 Uniswap 的模总是依靠套利者来消除资金池中的不平衡,那么提供者将会在每笔交易中都站到了“真理的对立面”,作为补偿,目前 Uniswap 将会补偿提供者 0.3% 的交易手续费作为奖励。这种潜在损失有可能在未来会逆转变成收益也有可能不会。在我们看来,目前的潜在损失问题对于追求稳定收益的流动性提供者而言非常不友好,一是流动性提供者所有的收益在交易池关闭之前都是浮盈的,很有可能在短时间内付之一炬(除非你愿意享受 24/7/365 的全球市场交易乐趣);二是提供者的所有资金将会全部锁定在交易池中而不是在自己的钱包里。针对此两类问题,一是平台将会允许流动性提供者暂时关闭自己的流动池,让提供者不用在自己睡觉的时候依然提心吊胆,同时对于选择 24/7/365 交易的流动池提供者提供一定的奖励(承担任何风险都应该获得合理的回报)。二是设定一个安全比率,在保证流动池正常流动性的同时允许提供者提出一定的利润进入自己的钱包里变为自己实际盈利。
3. 一个基于 DAO 的社区治理模式
Konomi 平台的社区治理基于 DAO (Decentralized Autonomous Organization)进行设计,相比于传统的金融系统往往由金融监管机构对股票、债券等金融产品进行发行审核和监管,一个基于 DAO 的金融系统显著优势在于自动化执行的统一规则、透明度、以及任何持有 KONO 代币的利益相关者都可以表达自己的利益诉求。我们认为一个基于 DAO 的社区治理不仅仅能够提升 KONO 的流动性更能显著的提高用户的活跃度。
目前来看,一个完全基于 DAO 的自治化社区要在短期实现将会面临较多的困难,其知名的问题在我们看来并非技术层面,更多的是目前缺乏相关的数据支撑使得所有决定能够被智能合约量化,相关项目显示一个完全由自动执行的代码来管理的社区并没有减少人与人之间的沟通成本,尤其是在处理极端事件的时候。举个简单的例子,目前 DAO 治理基本准则依然如同二进制一样只有“0”和“1”两个选项,非黑即白。而金融市场往往是瞬息万变且极为复杂,如果我们把某一代币能否作为抵押品这一问题完全交给持有代币的用户,且用户投票选项只能是支持或者不支持这两个极端选项,如果绝大多数用户对于该货币的了解程度不够,那么这种投票显然是有失公允、效率低下的。
因此,我们团队认为目前来看比较现实的做法是“人治+自治”相结合,人治主要处理的是不可量化、高频的决定,而自治主要处理的是可量化、低频的决定。当整个社区面临着并未写在智能合约中新问题时,此时便需要人治来处理这一类问题,同时写出一个可以处理这类问题的智能合约使得下次社区面临同样问题的时候并不需要人治的参与。当这类问题被越来越多的发现和解决,最终人治的参与将会越来越少直到最终退出。而自治主要可以处理诸如 Swap、清算程序这类能够被标准化和提前设计的问题,目前来看,Konomi 平台绝大多数治理工作已经能够通过智能合约进行解决。
4. 总结
Konomi 团队的每一个人作为 Web3.0 的信仰者都坚信在金融行业完全的去中心化是未来的趋势,但是并不赞同现在许多人逢中心化必反的言论,认为中心化是百害而无一利。Konomi 团队设计产品的初心始终坚持用户至上的原则,而不是概念之上的原则,绝不妄图用一个全新的概念来博取用户眼球,最终将一个不成熟的产品推向市场,自己获得盈利后将一地鸡毛留给用户。因此 Konomi 团队的 Swap 平台和社区治理也许并不是目前 DEFI 市场上**概念的产品,但是将会是一个**有责任感和稳定性的产品,Konomi 团队永远不会停止创新,但是认为创新的代价与成本应该由自己承担而不应该将创新成本转嫁给每一个使用平台的用户。
附录:
一、流动性无限推导:
假设目前在 Konomi 中存在一个 DOT-BNB 交易流动池,用户在使用 DOT 兑换 BNB 时需要一个方法来确定交易价格。
Konomi 的定价模核心思想与较为成熟的 Uniswap 类似,为一个恒定的乘积公式式 X × Y = k(函数图像见下图)

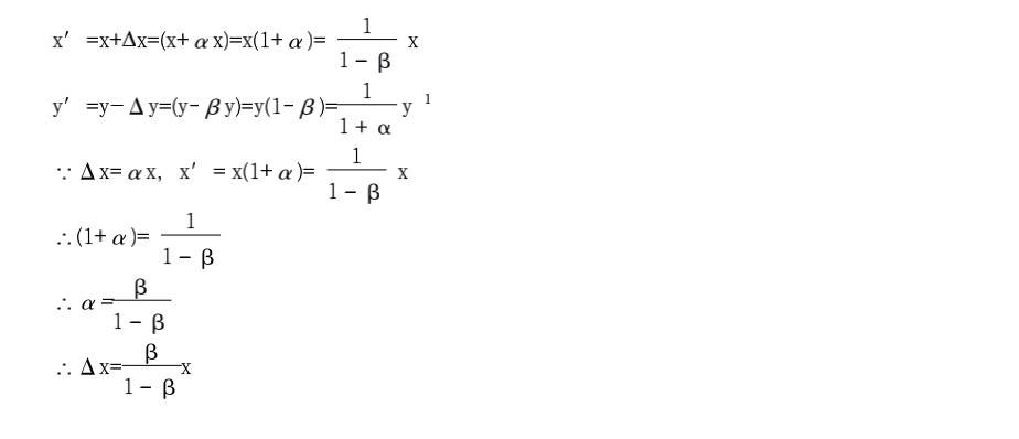
假设乘积 k 是一个固定不变的量,当用户使用 x 资产从流动池中兑换 y 资产时,流动池中 x 资产的数量会增加,y 资产的数量会减少。由于 k 是恒定的,所以当 x 增长 ∆ 时,需要将 y 减少 ∆ 才能保持等式的恒定。
在不考虑手续费的情况下,则满足:
(x+∆)×(y−∆) = k
在考虑手续费的情况下,则满足:
[x+Δ (1-γ)]×(y−Δ) = k′
其中 γ 为手续费
交易价格计算:
不含手续费情况:

由上述 3.1 公式可知:

同理可得:

下面函数图像刻画了向流动放入 ΔX 兑换出 ΔY 的情形:


从上图可以看出向流动池中注入的 ΔX 越多,可以从流动池中取出的 ΔY 也会越多,但是 ΔY 只会不断地逼近流动池中现有的代币数量,并不会超过,也就是说你永远无法一次性买断流动池中所有的,可以看出,恒等乘积公式可以提供无限的流动性。
二、交易滑点:
交易滑点指的是在买卖货币时,实际支付价格与期望交易价格的差。


可以看出当一个资金池中资金量越大时,滑点将会越小(x 越大,Q 越小),同时一个时间点内交易量越小,滑点将会越小(△x 越小,Q 越小)。
三、潜在风险:
用户的风险永远是 Konomi 第一考虑因素,Konomi 会在用户使用之前告知用户交易的潜在风险,从而帮助用户自我衡量是否进行交易。根据目前 Konomi 团队的模拟,用户的资产将会在流动池中资产价格发生波动时可能产生损失,为方便读者理解,我们用一个案例进行说明,
假设目前存在一个 DOT-BNB 的流动池,d 表示 DOT 的数量,b 表示 BNB 的数量,p 表示流动池中的价格,目前用户向这个池中注入 100 个 DOT,10000 个 BNB,那么根据以下 4 组公式应该有:

根据上面的假设,现在 d = 100 b = 10000,当前市场的价格 p = b/d = 100
k = db = 100*10000 = 1000000
假设现在外部市场发生急剧的变化,导致 p′ 的价格变化为 120,由于价格的变化,根据上文所描述,套利者将会在这个时间点进入开始工作,使得目前流动池中的价格能够与外部市场保持一致,这时流动池中的新 d,b 数量为:

现在我们计算如果不存在这个流动池,用户只是将所有货币放在自己的钱包内,此时的资金价值应该是:

那么现在将钱放入流动池后,用户的资金只能有:

那么潜在损失为:

可以看出,用户潜在损失大概为 4% 左右,但是如果用户依然保持头寸,一旦 p 能够回到 100,用户将会没有损失,所以我们将这个损失称为潜在损失。
文章链接:https://www.btchangqing.cn/221425.html
更新时间:2021年03月29日
本站大部分内容均收集于网络,若内容若侵犯到您的权益,请联系我们,我们将第一时间处理。