Uniswap V3 核心思想是流动性中心化,流动性提供者可以在某个区间提供流动性,提高资金使用率。
原文标题:《Uniswap – V3 技术白皮书导读》
撰文: Star Li
Uniswap V3 一公布就引发广泛关注。相对 V2 来说,逻辑和代码都复杂一些。V3 的核心是通过盘口区间提供流动性(中心化式流动性),解决 LP 提供流动性时的资金利用率的问题。什么是资金利用率?V3 如何推导区间流动性的计算公式?如何理解流动性?如何计算 swap 费用?本文先从 V3 技术白皮书详细分析开始。
先给出一些 Uniswap 官方有关 V3 的资料:
-
V3 官方介绍
-
技术白皮书
-
智能合约代码
推荐先认真查看技术白皮书,再看智能合约代码,**再对照官方介绍。理解了技术白皮书,代码非常容易理解。在技术白皮书的第一章总结了 Uniswap V3 的技术特点,最核心的概念是 「Concentrated Liquidity」(中心化式流动性)。
资金利用率
先看看 Uniswap V2 的资金利用率:

上图为资金池中的 x/y 的量变化曲线。资金池中的当前价格在 c 点,并且假设会在 a 价格点和 b 价格点之间波动。从 c 点向 a 点滑动,消耗** y_real,从 c 点向 b 点滑动,消耗**为 x_real。也就是说,当前价格 c 点,在 a 点和 b 点之间震荡的话,**只需要消耗 x_real 和 y_real。理论上只要提供 x_real 和 y_real 就足够了。而事实上,如上图所示,在价格 c 点,分别提供了大于 x_real 和 y_real 的 x 和 y。明显可以看出,x-x_real 和 y-y_real 的资金在这种情况下是永远用不上的,也就称为闲置资金。
在这种情况下,资金利用率为 x_real/x 或者 y_real/y。如果价格波动非常小的话,资金利用率是非常低的。Uniswap V3 就是尝试解决资金利用率低的问题。想法比较简单,所有资金可以只添加到某个区间,只添加到有可能价格波动到的区间范围。如何在某个区间添加流动性并提供 swap 功能是 Uniswap V3 的重点。先从 Virtual Reserves 说起。
虚拟资金池(Virtual Reserves)
Uniswap 的交易采用的乘积固定模 (x*y=k)。所谓的虚拟资金池 (Virtual Reserves),是指还在乘积固定曲线上,只提供某个区间流动性的资金池:

图中的墨绿色的曲线就是虚拟资金池满足的乘积固定曲线。事实上需要的资金的曲线如图中的橘黄色。橘黄色的曲线公式如下图:

你可以想象成虚拟资金曲线在 x/y 轴进行平移,使得 a/b 点和 x/y 轴重合。也就是用一定量的资金就能达到「虚拟」的交易曲线的效果。
如何计算在某个区间提供虚拟资金池,先要从深入理解流动性开始。
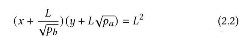
流动性(Liquidity – L)
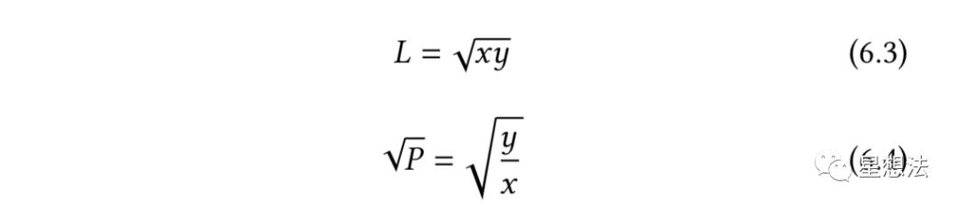
乘积固定的交易模,满足资金池中的两种代币金额满足:xy = K。如果设定 K=L^2 的话,xy = L^2。L 就是我们说的流动性。由乘积固定的交易模得出如下的公式:

在已知 L 和 sqrt(P) 的情况下,也能推导出资金需求量 x 和 y。

通过公式 6.6,在流动性不变的情况下(不添加删除流动性),流动性可以看成是单位「价格波动」的 y 资金量的变化。「价格波动」打上引号是因为事实上是 sqrt(P) 的变化。

这个是 Uniswap V3 核心公式(6.7),用相对值(资金和价格相对值)来计算流动性。所谓的流动性,就是单位「价格变化」的资金量。在一定的交易量的情况下,如果流动性好,价格变化就小,流动性不够的话,价格波动就大。

特别注意的是,一个区间上的流动性和 V2 的普适的流动性不同。一个区间上的流动性,重点在「区间上」。不同区间的流动性没有可比性。V2 的流动性和区间上的流动性的区别如下图:

V2 的流动性是「普适」的,在所有价格点上流动性相同。V3 的流动性是由一系列不同区间上的流动性组成。相对来说,在当前价格左右的流动性比较高。流动性提供者 LP 只有提供了可供交易的流动性才能获取交易费。为了获取更多的交易费,为了提高资金的利用率,流动性提供者会将资金提供在合理的价格波动范围内。也就是说,在某个区间 swap 交易产生的手续费,只有该区间流动性提供者才能获取手续费。为了计算每个区间获取的手续费,引入了 Tick 的概念和计算方法。
Tick
在区间上提供流动性,带来很多复杂的情况:区间和区间的重叠覆盖。因为不同区间的流动性没有可比性,某个交易费并不能混入到流动资金中,等删除流动性时候一并提取。为了解决这个问题,Uniswap V3 引入了 Tick 的概念。交易费用实时结算并单独记录,并不混入流动资金中。虽然整个区间和区间的流动性没有可比性,但是,在具体的某个价格点上(一个价格片上),流动性是可比较的。Uniswap V3 将整个价格范围 (负无穷到正无穷) 分成一个个的 Tick (价格点):

后一个价格点的价格是前一个价格点价格基础上浮动万分之一。

每个 Tick 也有一个唯一的序号。区间(Position)可以由两个 Tick 表示。逻辑上交易手续费可以一个个的 Tick 计算,并在每一个 Tick 上根据流动性的占比进行交易分配。先看看一个 Tick 范围的 swap 的计算。
Tick 内的 SWAP
假设有一个很小的量的 y,需要 swap 为 x。通过 6.13 的公式,可以计算出因为 y 的变化导致的价格变化。

再利用 6.15 的公式可以算出换取的 x 的量。

Uniswap V3 针对同样的交易对设置了不同的交易费:0.05%,0.3% 以及 1% (还可以添加其他费率)。如果是从 Y 换取 X,则在换取之前先扣除手续费再进行上述的交换。
在同一交易池中只支持一种费率。也就是说,在一个交易池中支持不同的价格区间,但是都是同样的费率。如果需要添加同样交易对的不同交易费的交易池,必须创建新的交易池。
接下来,深入讲解一下 添加 / 删除流动性以及交易费用的计算逻辑。
添加 / 删除流动性
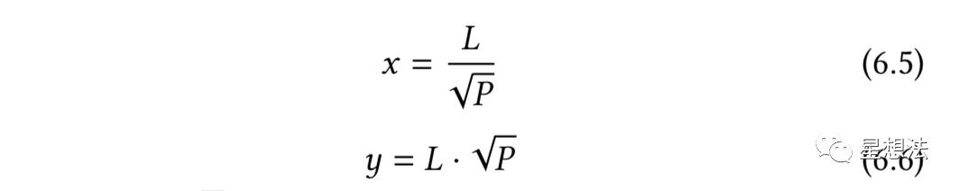
V3 的添加 / 删除流动性是当前价格情况下在某个区间添加或者删除流动性。所有的流动性添加 / 删除流动性采用如下的公式:

注意,价格变化并不是指区间的大小,而是在某个区间上提供流动性,相对当前价格,「需要相应资金变化」对应的价格变化。
分为三种情况,想要添加的流动性区间和当前价格的关系。
- 当前价格处于流动性价格区间 (il lt;= ic lt; iu)

因为价格在区间范围内,如果价格滑动到 il,则需要提供 y 资金。如果价格滑动到 iu,则需要提供相应的 x 资金。所以,对于 delta_Y 来说的,价格变化为 sqrt(P) – sqrt(p(il));对于 delta_X 来说,价格变化为 1/sqrt(P) – 1/sqrt(p(iu))。
- 当前价格低于流动性价格区间

因为当前价格远低于 il,即使从当前价格向 iu 滑动,也只需要 x 的资金,不需要 y 的资金。所以,在这种情况下,delta_Y = 0。因为从 il 滑向 iu 需要整个区间的 x 的资金,对于 delta_X 来说,价格变化为 1/sqrt(il) – 1/sqrt(p(iu))。
- 当前价格高于流动性价格区间
和第一种情况类似,不重复分析了。
Swap 交易费用
Uniswap 最复杂的逻辑是计算交易费用并分配。在添加和删除流动性之前需要将相应的交易费用提取。
Tick 上的总流动性
在某个 Tick 上可以存在多个区间。在计算交易费用时,需要平摊这些费用给所有在这个 Tick 上多个区间的总的流动性。在每个区间的边界的 Tick 上记录下 delta_L (所有以这个 Tick 为边界的区间的流动性总和)。
存在一个全局状态:liquidity,保存当前价格对应 Tick 的流动性总和。当价格波动,穿过某个 Tick 时,会进行流动性的增加或者减少(取决于价格波动方向)。举例来说,价格从左到右穿过区间,当穿过区间的第一个 Tick 时,流动性需要增加,穿出**一个 Tick 时,流动性需要减少,中间的 Tick 都没有流动性的增加和减少(delta_L 为 0)。

区间(Position)上的交易费用率
计算一个区间上的交易费用率,采用总的费用率减去区间外的费用率的方法。 在一个区间的边界 Tick 上记录 feeGrowthOutside。所谓的 feeGrowthOutside,就是「另外」一个方向上总的费用率。另外的一个方向是相对穿过当前 Tick 的方向而言。当价格从左到右穿过一个 Tick,feeGrowthOutside 指的是 Tick 左边所有区间的费用率。简单的说,就是价格要去方向的相反方向所有区间的费用率。feeGrowthOutside 用 fo 表示。因为 fo 是一个 Tick 的两个方向的总的费用率,两个方向的费用率的总和肯定是等于 fg (全局的费用率)。所以当穿过一个 Tick 时,这个 Tick 上的 fo 要进行翻转:

当一个区间创建时,区间边界上 Tick 的 fo 需要初始化:

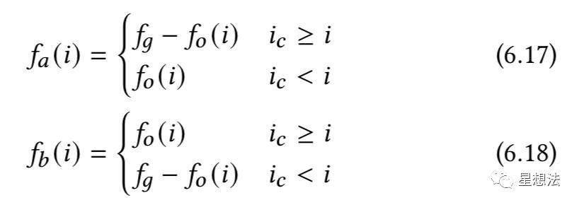
如果当前的价格大于 Tick 的价格时,因为即使当前价格在设置的区间内,但是之前费用也不会分到,所以,可以简单的假想为所有的费用发生在 Tick 价格之下,也就是 fo=fg。如果 Tick 的价格大于当前价格,价格还没有穿过 Tick,因为假设了之前所有发生的费用发生在 Tick 价格之下,Tick 之上是没有费用的,所以 fo=0。在理解了这些逻辑的基础上,在 swap 的过程中,随着价格的波动,一个区间上,超过很高 Tick 的费用率以及低于** Tick 的费用率可以用如下的方式计算:

以低于** Tick 的费用率的计算为例,如果 icgt;=i (当前的价格是高于** Tick 的),低于 Tick 的所有的费用率就是 fo (定义如此)。如果 ic

获取的费用率的基础上,用费用率乘以区间的流动性可以计算出该区间收取的费用。
总结
Uniswap V3 版本核心思想是流动性中心化。流动性提供者可以在某个区间提供流动性,提高资金使用率。在某个区间获取的交易费,由所有在该区间的流动性提供者均分。Uniswap V3 设计了区间粒度-Tick,并且推导了流动性添加 / 删除以及费用计算的过程。在之基础上,Uniswap V3 也更新了价格预言机的实现。
文章标题:深入理解 Uniswap V3 原理:从技术白皮书开始
文章链接:https://www.btchangqing.cn/232347.html
更新时间:2021年04月13日
本站大部分内容均收集于网络,若内容若侵犯到您的权益,请联系我们,我们将第一时间处理。