注,原文作者为Rasheed Saleuddin
以下为全文翻译:
DeFi投资者知名的苦恼之一便是代币估值。在极少数的情况下,DeFi协议能在具有传统金融类似性的同时,产生应计给代币持有人的现金流。Nexus Mutual是DeFi领域内等同于传统全权委托的保险。其治理代币NXM在客户购买保险时会被销毁,类似于传统金融中的股票回购。乍一看,就像MakerDAO一样,DeFi保险似乎就相当于传统的金融业务,因此,传统金融中的指标也应当适用。然而,在评估Nexus Mutual的价值主张时,需要考虑到协议涵盖业务、NXM代币经济学和更广泛的DeFi生态系统的许多细微差别。
Nexus Mutual为智能合约失败和托管违约损失提供保险,并通过社区投票决定赔款。如果没有保险,DeFi的主要风险–协议或托管失败–就无法得到保障,而协议黑客攻击则很可能导致损失。2月,Messari计算得出,自2019年以来,DeFi因黑客攻击而发生的损失超过2.84亿美元。
(然而)Nexus Mutual与去中心化保险行业只覆盖了DeFi TVL中的一小部分。如今,Nexus Mutual知名的问题便是,能否覆盖DeFi TVL的更大比例。
Nexus与NXM代币
为了对智能合约黑客攻击、治理攻击、预言机失败或托管失败提供保障,Nexus Mutual从其 “成员”–NXM代币持有者那里汇集了资源。其运行逻辑如下:
1. 资产准备:成员通过向Mutual出售ETH来获得NXM代币,这些代币将留在资金库中用以支付索赔。
2. 风险评估:保险的批准和定价是由预测市场模决定的。只有在有足够质押数量的NXM支持的情况下才能承保,而相对于承保需求而言,质押NXM(用于对协议安全进行投票)的供应紧张会导致保费增加。所提供的保险收入的部分将被保险人赚取。
3. 索赔评估:赔付由NXM质押者决定。
4. 一般治理:质押的NXM授予了社区投票权,尽管该协议仍然是中心化的。
Nexus Mutual运行的所有层面都需要NXM代币。对NXM的需求既取决于Nexus Mutual的商业前景(更多的保险需求等于更多的资本需求,以及更多的保费收入),也取决于购买代币以获得保险的需要。
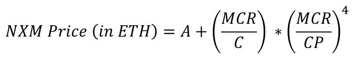
正常情况下,NXM的价格由粘合曲线设定,这就意味着它可以根据其资本池(CP)和**资本要求(MCR)上升或下降,具体如下:
如果对保险的需求增加了(如下图所示),NXM代币的价格就会上升,因为会有更多购买代币来支付保费的需求,并且需要更多的资本来保障增加的保险需求。如果Mutual资本过剩,那么NXM的价格就会下降,直到MCR为*(资本池和**资本要求比率),届时将停止赎回。
然而,目前**的资本池水平设定为16450 ETH,所以即使协议有超过足够的资本来支付**限度,MCR%也会被设定为*。一旦低于该水平,就不允许赎回,所以自2020年底以来,粘合曲线就没有正常运行过。
性能与价值指标
事实证明,在试图对DeFi协议进行估值时,该领域的新生事物和数据的缺乏已成为了具有挑战性的障碍。除此之外,Nexus Mutual也存在着自己的一系列挑战。我们应该使用传统的衡量标准,还是应该将Nexus Mutual与DeFi领域的其他项目进行比较呢?
传统上,保险公司的估值通常基于以下三个关键指标:
1. 账面价格
2. 股本回报率,以及市盈率
3. 损失经验和保额增长
账面价格与WNXM代币
由于**限度的资本限制,想要退出Mutual的NXM代币持有者目前还不能直接退出。NXM持有者退出的唯一途径是铸造可交易的WNXM代币,并在公开市场上出售。据目前而言,退出的情况正在迅速增加。25.7%的NXM代币已被铸造成了WNXM,而WNXM在粘合曲线上的交易价格相比于声明价值而言,也是大打折扣。
NXM的账面价值等于资金库中ETH的市场价值。目前,资金库中有162425个ETH,价值3.922亿美元。而NXM的总价值,即NXM的市场价格(以WNXM衡量)乘以未发行的代币,为484,637,020美元(70美元*6,923,386)。那么,NXM的账面价值与总价值的比率(市净率)为1.24。通常而言,传统保险公司的市值是其账面价值的1倍至2倍,但可以说,这些都无法与DeFi的增长前景相媲美。
NXM的铸币价格不是协议的价值。目前,粘合曲线的价格根本不重要,因为它远远高于Wrapped版本的报价方价格。因此,WNXM并不比NXM“打折扣”,而是比资金库中的ETH价值高出25%。
目前,Nexus Mutual的资本充足率过高。162,425 ETH的**资本能够支持2021年2月的大量活跃保险量,当3月底保险量降低40%时,分配的资本也并没有改变(见下图)。截至3月31日,运行中的资本比2月中旬要好一点,但效率要低一半。即使考虑到2月份的风险状况可能较低,资本也远未达到**配置。反观Nexus Mutual的竞争者Unslashed Finance,其杠杆率几乎是其两倍。
在资本池需求使粘合曲线重新发挥作用之前,WNXM是唯一的市场。保险需求需要大幅增加,才能给资本池带来足够的压力,以使市场价格达到NXM协议粘合曲线NXM的铸币水平。
在保险需求增加到需要注资之前,WNXM将持续萎靡,且将保持在粘合曲线价格以下。而且现在根本不需要资本的注入。
股本回报率和市盈率
对于市盈率(P/E),我们使用了当前年化保费和年化平均保费(以美元计),因为它们几乎相同,约为2000万美元。对于价格,我们使用WNXM计算的市值484,637,020美元。因此,当前和过去六个月的市售比(以及市盈率,如果我们假设成本较低)为24,净资产收益率(ROE)为4.1%。
Nexus Mutual和MakerDAO是极少数从费用到代币回报有直接联系的协议中的两个。24的市盈率对于任何成长股票来说都是非常不错的。那么,Nexus Mutual是成长股票,还是DeFi的主导者,或者两者兼是?
损失经验和保额增长
保险公司通常依靠大数法则和巨大的数据池来了解其风险组合的表现。当然,智能合约是一种非常新的创新,定价几乎没有什么数据可以依赖。
Nexus Mutual经历了轻微的损失,盈利也因两个小的漏洞而略有减少:一个是bZx(36,000 DAI和4 ETH),一个是Yearn.finance(300万美元)。然而,损失仅占保费收入总额的15%左右,只是目前有效保额的一小部分。
NXM持有者通过将其代币质押在他们认为风险**的协议上来决定保险池的组成。池中知名的风险是**DEX,Curve和Uniswap(v2),以及两个**借贷协议,Aave(v1和v2)和Compound。不太知名的,以及那些较新的协议只占保险池的较小部分。
最近,Nexus Mutual上的活跃保险落后于DeFi的增长,在过去的几个季度里,收益也非常不稳定。DeFi本身自2月高峰期以来一直处于平稳状态,但Nexus Mutual的收入实际上已经下降了。由于承保明显低于可用性,目前供应也高于需求。
高产的收益耕种热潮为Nexus Mutual带来了保额和年化保费的第一个高峰。而今年第二个高峰更加有趣,因为它似乎是由所有主要DeFi协议的保险需求增长所驱动的。其中一些新的保险是由Armor收益耕种驱动的,但整体而言,今年有一个基本的更广泛的增长。2021年第一季度,年化保费从170万美元增长到了1680万美元,增长了近9倍;与年底水平相比,有效保额也增长了8倍,而DeFi TVL在这段时间内增长了3倍。
加密货币指标
WNXM代币最近在12月至2月的上涨过程中表现不如DeFi Pulse指数,不过目前,两者都有所巩固。
以保额衡量的Nexus Mutual TVL与DeFi的TVL有着不稳定的关系。除了2020年9月的小插曲外,Nexus Mutual的保额在2020年下半年均滞后于DeFi的上升。不过,这一切都在今年发生了变化,保额从DeFi的0.5%增加到了2月份的2%以上。
从那以后,DeFi TVL继续增长,但Nexus Mutual的活跃保险率却下降了。但,这是暂时的吗?
目前状态
增长的**障碍之一是,客户需要跳过许多障碍才能购买保险,包括:
1. 获得KYC认证
2. 耗费ETH购买NXM
3. 反对购买保险的偏见
KYC要求是一大重要障碍。对于“加密原住民”来说,他们通常会避免提供任何与其DeFi活动有关的个人信息。所以,必须购买精确数量的原生代币,且不能移植到协议之外,会给用户带来额外的负担。此外,购买保险常常也伴随着许多偏见。购买的障碍越少越好,推动越多越好。
取消KYC,并使用诱导策略来推动更多客户购买保险产品,会带来更多的保险购买。Nexus Mutual的竞争对手Unslashed Finance和Sherlock DeFi正在直接向协议销售,包括向Lido.fi提供2亿美元的“罚没”保险,向Paraswap v3提供1000个ETH的保险。
取消“KYC”,并使用诱导策略来推动更多的客户购买保险产品,会带来更多的保险购买。Nexus Mutual的竞争对手Unslashed Finance和Sherlock DeFi正在直接向协议销售,包括向Lido.fi提供2亿美元的 “砍价 “保障,向Paraswap v3提供1000个ETH保障。
此外,Armor还有效地对Nexus Mutual的产品进行了白标,以取消KYC要求。arNXM是一种通过质押NXM参与治理的方式,且不需要KYC。arNFT则是一种将智能合约和托管保险作为购买保险的方式,也不需要KYC。Armor自1月底在Nexus Mutual上推出以来,TVL已经增长到了3.79亿美元。
新的协议有望在今年及时推出,但现在判断Nexus Mutual是否会失去市场份额还为时尚早。波卡上,Bridge Mutual正在提供互助保险,Insured Finance也在推出P2P保险。此外,传统保险公司也在进入这一领域。例如,劳埃德银行已与Coincover解决方案合作推出了钱包 。
协议保险
扩大覆盖面是Nexus Mutual的优先事项。协议保险于4月26日上线,为2020年10月后购买保险的人在协议部署的任何链上的损失提供保护。此外,该保险现已覆盖预言机故障,以及治理和经济攻击。随着客户遵循协议迁至侧链(Pogon上的Aave)、Layer2(Uniswap扩展到Optimi)和第一层(Binance智能链上的Sushiswap),保险也将跟随他们一同迁移。整个可寻址市场现在已经扩展到所有的DeFi,无论是否在以太坊。
管理浮动资金
沃伦·巴菲特利用当时规模不大的伯克希尔·哈撒韦保险公司的资本池的浮动资金,让自己和所有股东都变得非常富有。在DeFi中使用浮动资金的问题是,几乎不可能找到一个不可能增加协议和被保用户风险的质押机会。例如,当这是它所承保的风险之一时,Nexus Mutual如何能参与Yearn的质押呢?要成为一个可信的、可行的保险项目,浮动资金必须是某种低相关性资产。以太坊2.0的质押可以是这样一个例子吗?或者TradFi能提供一个解决方案吗?
如果Nexus Mutual能够赚取浮动资金,那么协议的经济性就会大大改善。例如,10%的浮动收益将使目前的年化保费收入翻倍。
**的思考:为什么Nexus Mutual做不大?
如果DeFi要发展到超越加密货币鲸鱼和加密货币原住民,那么它就需要保证协议的安全性。 而其中一些保证就需要保险,因为FDIC保险在防止银行挤兑的同时,也能为储户提供更多的安心。保险远非昂贵,但对于Aave、Uniswap V2和MakerDAO等经验老道的协议来说,2.9%的保险年化率,除了**激励作用的DEX LP和贷款回报外,成本可要高多了。而且,竞争也正在到来。
Nexus Mutual有三个威胁需要解决。首先,Nexus Mutual必须找到一种方法来处理以太坊的高费用环境。否则,保险将只对鲸鱼有经济效益。在撰写本文时,gas费用是一份20ETH 30天合约实际保费的三倍。如果Nexus Mutual不能先行一步,那么其他拥有Layer2或竞争第一层解决方案的项目(如Polkadot)就可能就会蚕食Nexus Mutual的市场份额。币安智能链(BSC)上已经有了一个Nexus Mutual的克隆产品Soteria,而且它正在为流行的以太坊协议分叉提供保险,如Ellipsis,BSC的Curve版本等。
最关键的是,Nexus Mutual需要解决KYC问题,并向潜在客户提供推动,如点击销售产品。Armor已经在朝这个方向发展了。
文章标题:DeFi之道丨传统&L加密双视角解锁Nexus Mutual近况
文章链接:https://www.btchangqing.cn/246864.html
更新时间:2021年06月12日
本站大部分内容均收集于网络,若内容若侵犯到您的权益,请联系我们,我们将第一时间处理。