Fei(Fei协议)现在已经结束了Genesis的启动。它已经募集了63.9万件以太坊作品,铸造了13亿件飞人作品,17000个独特的地址参与其中。这些地址将接收相应数量的稳定Fei和三重代币空投。数据显示,Fei协议的PCV(ETH控制总价值)为12.57亿美元。
Fei协议在正式推出之前就引起了高度关注。Cointdesk称,此前,Fei实验室完成了1900万美元的融资,投资者包括Andreessen Horowitz(a16z)、framework ventures、CoinBase ventures、angel list创始人naval Ravikant、parafi capital和variant fund。
目前,作为DeFi基石的稳定币仍处于以中心化资产(如美元兑美元、美元兑美元)为主的阶段,而传统的去中心化超额抵押稳定币(如Dai)存在着资产效率低下的问题。为了解决这个问题,自去年以来,一些算法稳定币开始出现。遗憾的是,由于没有抵押资产,这些算法稳定币表现极不稳定,因此难以承担责任。
今年以来,出现了一种新的算法稳定币:代表FraX的部分抵押算法稳定币、连续ESD和Fei协议。
Fei是一种高度可扩展、去中心化和储备支持的稳定币,旨在满足DeFi的需求,而不依赖于中心化的资产抵押品。
Fei协议认为,现有的总价值锁定(TVL)DeFi项目无法持续,只有当它们能够提供高回报时,才能获得足够高的TVL。市场上有很多机会。每天都会有高产项目。项目中留下的资金并不忠诚,可能会转移到其他项目。最近市场上流行的羊驼金融和大数据协议就是这样的例子。大额资金撤离后,平台货币迅速卖出,促使资金进一步外逃,形成恶性循环。
与此相反,Fei协议提出了一种协议控制价值(PCV)模,在该模中,用户在合同中的资产将直接归协议所有,并且用户不能提取这些资产。该协议可以更灵活地使用这些资产,以与基本目标保持一致。Fei协议利用这些资产来维持Fei的流动性,实现Fei的价格稳定。
Fei协议的目的是使ETH/Fei的交易价格紧跟ETH/USD的价格,并保持市场的流动性。Fei采用的是一种新的稳定币机制,我们称之为直接激励机制来实现。该机制通过基于DEX交易量的动态流动性挖矿奖惩机制固定在固定价格(1美元)上。最初,该协议将在Uniswap中启动,稍后,其他DEX平台和流动性激励措施可以根据需要通过治理进行添加和更新。初始流通代币Fei只能通过ETH的联合曲线购买,定义为协议控制值(以下简称PCV)。
PCV是完全由协议拥有和控制并锁定在智能合约中的资产。这不是我以前欠你的普遍的东西。前者可以理解为总价值锁定(TVL)的一组更强的情形。当Fei协议创建时,PCV的所有资产将在Uniswap上为ETH/Fei提供流动性,这是一种无过度抵押的“流动性担保”模式。
随着供应量的增加,联合曲线的代币价格接近前置机的固定价格。当Uniswap价格低于锚定价格时,可以保证套利机会。如果Uniswap价格在一段时间内低于锚定价格,PCV可以提供流动性来支持其回归锚定价格。
Fei协议的治理代币称为部落代币。部落奖励Fei/Uniswap部落的LP持有者。Fei协议具有其他稳定币协议所不具备的核心优势。它确保了去中心化和可扩展性。同时,新的代币供应被公平地分配给新的需求。PCV为协议提供了更大的灵活性,以确保项目的期限和主题。Fei代币持有人真正受益于稳定和流动性的稳定币协议。
当固定资产价格长期低于一美元时,任何人都可以触发钉住权使其价格上升。协议将收回所有持有的流动性,用ETH购买Fei,恢复到挂钩价格,用剩余的ETH和Fei重新提供流动性,并销毁剩余的Fei。
除了协议的主动操作外,还有一些机制鼓励用户自发的行为来锚定价格。
当价格低于链接价格时,销售用户将获得4%的额外损失,购买用户将获得2%的额外奖励。

费是稳定币的锚⻜ 协议。它遵循ERC-20标准。Fei的供应是⽆ 上限。Minter和burner契约通过联合曲线和交易激励控制其发展。Fei-token有一些标准的ERC-20功能,但仅适用于某些事务。
动态激励将给出涉及激励的地址。激励地址是指⻜ 协议想激励一些人⾏ 为了。激励契约控制着每个激励的流向和金额。激励合同被指定为Minter和burner。如果客户将Fei发送到奖励地址,他们的余额将受到Minter或burner流程的影响。⻜ 协议的主要激励地址在Fei/ETH Uniswap池中。
Feip:协议控制的Fei,部署在LP池或由不同PCV控制的其他池中
FEIB:联合曲线分配给每个家庭的Fei,每个联合曲线将计算每个家庭的数量
家庭控制费,总供给费减去总供给费

图1.6 Fei关节曲线来源:Fei书

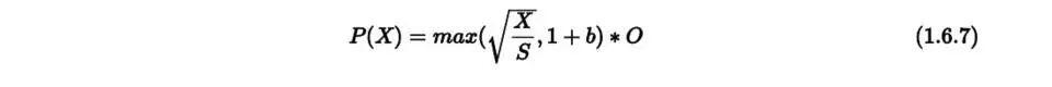
一旦联合曲线达到规模阶段,它将把汇率固定在1+B美元。B是一个缓冲区,使平均价格保持在1美元左右。当任何级别的市场价格超过1+B美元时,都有盈利机会。套利者可以在联合曲线上买入Fei,然后在联合曲线上卖出⼆ 市场来赚钱。
当B=0时,价格⽅ 差异⼤ 不到1美元。通过添加缓冲区B(最初设置为1%),1美元或更多的价格有一定的差价空间。考虑到这种价格调整机制,定价函数被修改为

节理曲线的等效变换
对于(1.6.1),美元单价为

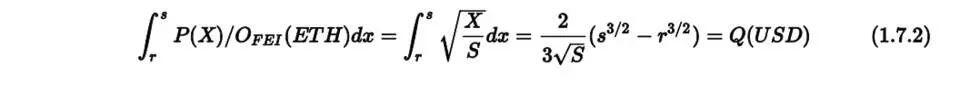
积分联合曲线,以确定从给定供应量r到另一供应量s所需的美元数量Q(USD)

转换后的关节曲线更直观(美元)。
在最初的Uniswap ETH/Fei单一激励池中,如果价格低于锚定汇率,激励合同将向交易员提供Fei硬币,下一个购买Fei的交易员将获得硬币作为奖励,帮助恢复锚定价格。这种激励措施是一个时间加权平均距离锚价格。

销毁更新如下:

低于锚定价格,任何波动都会导致净通货紧缩。此时,任何与购买相关的激励都不应超过为达到该价格而销毁的数量,这将导致代币通货紧缩。将总激励更新为:

每次Uniswap事务恢复锚定价格时,时间变量t将重置为0。如果⼀ 部分交易价格接近锚定价格时,t将乘以⼀ 修正/启动系数。如果交易量接近锚定价格的40%,时间变量t将减少40%,t将以R的速率恢复。
Fei协议的Dao遵循治理最小化的原则,不主动寻求任何对治理的主动干预,采用更自主的算法机制,避免僵化和过度依赖治理。

然而,据说一些科学家赚了很多钱,而且大多数参与者都被欺骗了。一开始,大家都不愿意割肉,等肉回到水里。
文章链接:https://www.btchangqing.cn/248398.html
更新时间:2021年05月02日
本站大部分内容均收集于网络,若内容若侵犯到您的权益,请联系我们,我们将第一时间处理。