AMM对有条件流动性的支持来自加密资产价格和智能合约的连续性。类似的逻辑也适用于DEFI的其他领域,以提高资本利用率。
Uniswap V3增加了基于常数积曲线X*y=K的粒度控制功能(Uniswap V3研究(2021年第33期))。流动性提供者(LP)可以选择将资本中心化在最频繁的交易区间,以实现中心化流动性并提高资本利用率,而Uniswap V3则为流动性提供者的头寸创建ERC-721合约。
我称这种做法为Uniswap V3条件流动性,它只存在于某些条件下。传统金融领域不存在条件流动性。那么AMM为什么能支持有条件的流动性呢?有条件流动性对AMM和DEFI的一般领域有何影响?对这两个问题的研究有助于我们理解资产负债管理和流动性的本质。
AMM 的内在逻辑
AMM的一般理论(2021年第31期)研究了AMM的一般形式。与本文一样,本文只研究了两种加密资产的AMM,分别称为X和Y,并以加密资产X为会计单位,即所有的价格单位和市值单位都是加密资产X。
AMM的状态是流动性池中两种加密资产的数量,假设在某一时刻为(x,y)。在AMM的一般形式中,无论两个加密资产如何交易(无论交易费用的影响,下同),流动性池始终满足要求

其中f是关于X的单调递减凸函数。
假设投资者将加密资产x与AMM交换为加密资产y△ Y交易完成后,流动性池的状态变为(x+△ x、 是的-△ y) 符合要求。这相当于

当流动性池状态为(x,y)时,加密资产单位的瞬时价格为(x,y)

以上(1)-(3)是从流动性池状态的角度来看,资产负债管理最基本的三种关系。AMM还可以从另外两个角度来理解,这两个角度都可以为AMM的内在逻辑提供新的见解。
首先,从投资者的角度。投资者可以将AMM视为“黑匣子”。他们主要关心用AMM交换加密资产x和加密资产y时能得到多少。如果两个AMM总能为相同数量的加密资产x提供相同数量的加密资产y,那么从投资者的角度来看,这两个amm是等价的。


图1:Uniswap V3流动性池
第二,从流动性提供者的角度。流动性提供者关心的是,在一定的价格水平下,他们需要提供多少流动性来支持资产管理活动。从(1)和(3)可以看出,流动性池可以表示为瞬时价格P(x)的函数

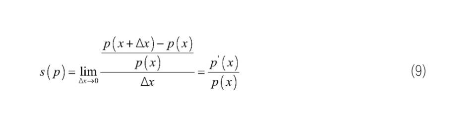
然而,流动性的**利用也有成本,这主要体现在Uniswap V3不能与特定的区间分开。但只有在区间内,投资者才会有同样的感受。除了瞬时价格和平均价格外,投资者的另一个重要指标是交易对瞬时价格的影响,即滑动点函数,定义如下:

证明了滑动点函数等于

条件流动性对 AMM 和 DEFI 的意义
AMM从两个方面支持条件流动性。
首先,加密资产价格不断变化。在任何一段时间内,交易只会发生在当地的价格范围内。流动性提供者只需提供该范围内的流动性即可支持AMM运营。如果AMM使用全球流动性,必然会在任何价格区间形成“死库存”,降低流动性的使用效率。Uniswap V3通过消除“死股”减轻了流动性提供者的负担,但在本地价格区间为投资者提供了相同的交易功能,属于Pareto改进。
其次,智能合约的应用使流动性提供者能够根据未来可能的情况提供不同的流动性。如果流动性提供者足够理性,流动性在不同价格区间的分布将有效反映市场对价格走势的预期。在这些更可能的价格区间,将聚集更多的流动性。根据(10),这将减少滑动点函数(k增加,s减少),从而为投资者带来更好的交易体验。选择这些价格区间的流动性提供者将分担更多的交易费用。在这些低概率价格区间,流动性提供者为投资者提供尾部保险。这样,市场机制驱动的流动性供给才能**限度地提高流动性配置效率。当然,这一过程也伴随着流动性提供者之间的复杂博弈。
类似的逻辑适用于DEFI的其他领域。DEFI项目在去中心化、不信任的环境下,利用超额抵押管理信用风险,将信用风险转化为抵押物过度锁定带来的流动性风险,并根据资产价格的变化动态监控抵押物的充足性。然而,超额抵押物主要针对加密资产价格大幅下跌的情况。当加密资产价格上涨时,信用风险并不高。因此,我们可以考虑在超额抵押DEFI项目中通过智能合同引入有条件担保。例如,加密资产只有在价格下跌到一定程度时才被用作抵押品,在其他时间可以自由使用。这将提高抵押品的使用效率。有条件抵押品本质上相当于在加密资产价格大幅下跌的情况下提供尾部保险。
综上所述,在DEFI领域,智能合约可以使同一加密资产在未来不同的情况下发挥不同的作用。例如,ETH持有人可以承诺在一定的价格区间内为AMM提供流动性,并承诺在ETH价格下跌到一定程度时为去中心化的借贷平台提供抵押品。只有这两种情况不会同时发生。这种“一事两用”的做法是站得住脚的。从本质上说,这是德必瑞证券在德必利领域的应用,将为德必利带来新的创新空间。
文章标题:深入分析AMM条件流动性逻辑及潜在的影响
文章链接:https://www.btchangqing.cn/301823.html
更新时间:2021年07月19日
本站大部分内容均收集于网络,若内容若侵犯到您的权益,请联系我们,我们将第一时间处理。