最近很多朋友咨询“PAXG数字黄金”这个项目,其实到了现在这个阶段,大部分朋友也都知道这类项目肯定是资金盘,只是想知道,到底什么时候下跌,自己从中能不能稍作投机。
关于各类资金盘,过去冰糖橙鑫曾经给过大家两个建议,第一个,就是不玩**,不赌为赢,你不参与,就不会亏钱,不亏就已经领先了圈内90%的玩家。
第二,就是如果你要玩,一定要往项目的核心圈层靠,获得一手的消息,资金盘玩的就是跑得快的游戏,谁能跑的快,谁就能在下跌前虎口拔牙,金蝉脱壳。
除此之外,如果只是普通玩家,冰糖橙鑫还是建议多关注主流,这是正道,希望正道的光能够照在大家前进的路上。
说回正题,“PAXG数字黄金”是资金盘吗?
答案是肯定的,目前朋友圈里面火爆的“PAXG数字黄金”肯定是资金盘,最终一定会跑路,根据其服务器的租赁时间来看,“PAXG数字黄金”服务器的租赁时间是到8月份停止,这个项目的交易是在5月11号上线的,但是5月份时候业内欣动国奥等项目吸引了大部分的目光,导致这个项目并没有太多人关注到。
后面在6月份突然爆发,大量的0撸玩家带队进场,一下子火了起来。
操盘手一开始只把服务器租赁到8月份,估计当时他们也没有想到自己的项目能够这么火爆,或许几个操盘手本来想,要是运作不下去,就直接8月关网算了,但是6月份突然涌进来几十万的玩家,就赶紧给服务器续了费,抓住机会,大大的圈一笔。
为什么很多人认为“PAXG数字黄金”是正规的?
原因是,主流市场里面真的有这么一个叫做“PAXG”的币子,PAXG是美国金融科技公司Paxos Trust Company(以下简称Paxos)宣布推出纽约金融服务部(NYDFS)批准的**可兑换实体黄金的加密黄金币PAX Gold(PAXG)。
PAX god是一种主流的数字资产,一个代币就代表一金衡盎司存放在伦敦专业金库中的伦敦标准交易黄金。
操盘手假借这个“PAXG”代币,做了一个0撸拉新的盘子,也就是现在的“PAXG数字黄金”而且名义也非常不错,就是帮助paxg的公司做用户拓展,逻辑上也对,但是人家真正的PAXG公司跟现在的0撸项目,是八竿子也打不到一起的。
包装的很好,但是如果你真的了解paxg公司的黄金对比规则,就知道这个0撸盘“PAXG数字黄金”是根本不可能的,谁会平白无故的白送几十万的黄金给大家呢?
而且这个项目,只在国内的玩家中流行,外网目前是看不到任何新闻的。
既然是资金盘,那么“PAXG数字黄金”什么时候下跌呢?
说到这里,冰糖橙鑫就得再给大家重复一下之前说过的理论,国内的资金盘项目,现在大部分都活不过1年,无论多么牛的项目,都是这样,比如上个月下跌的分投趣,多么牛的项目,也没活过一年的时间。
而“PAXG数字黄金”目前开盘到现在3个月不到的时间,从时间上来看,似乎还可以存活一段时间,有一定的生存时间空间。
国内的资金盘项目,一般在动静态利润泡沫10倍的时候,就一定会下跌跑路,即使不下跌跑路,项目也会开始走下坡路,在这种时候,一般都会有一些振奋人心的消息,比如万人大会啊,比如公链上线啊等等,比较有代表性的就是蚁丛、鲸鱼这些。
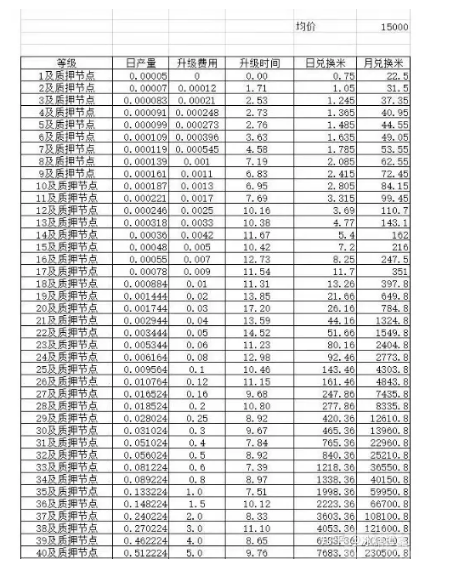
而“PAXG数字黄金”目前的泡沫程度多大呢?
找了一张对应的收益图,如下:
这两个图相信只要是玩过0撸类项目的朋友,都清楚怎么回事,一般这样的规则,大家需要关注的就是项目方发布的对应的各个级别的领导人数量的数据,然后再根据这些数据推测目前市场的筹码情况,再根据时间上来计算一下整个项目的泡沫程度。
这样大概就可以估算出项目进行到哪一步了。
这是网上玩家整理的对应的收益图,
而上述对应的节点,都需要你投资,这是投资的数量:
根据上面的数据,以及paxg的价格,***别的节点,需要你投资几十万人民币进去哦,前期的一些小节点,可以通过0撸来进入,但是大部分人应该都是投资几百块钱直接进入14级的节点。
而且这个节点的收益,有很多有意思的地方,每一个级别的差距,投资数量不大,但是只要你上升一个级别,你的收益却上升很大,这就是一种诱惑,诱惑你不断的升级。
如果参与,最多几百块钱这样,而且,要每天都提现哦,千万不要一开始投资几百,中途几千,后面大几万几十万,直到**,挂在山顶上。
最重要的是,一定要关注项目方发布的各种利好消息,小利好,可以相信,大利好,**要跑,项目方后面为了圈更多的人投资节点,投资更高的节点,肯定要发布一些高利润的利好,比如“升级节点送收益”“升级节点送公链联合创始人资格”“升级节点可以获得原始股”等等。
一旦发现项目方有这些动作的时候,别犹豫,快跑。
这个项目还有一个参与方法就是纯0撸,这个怎么说呢,冰糖橙鑫就一个观点,在你没钱的时候,把勤奋舍出去,钱就来了,0撸别嫌项目,抓住一个就一直薅,反正不投资,只不过是花点时间精力,项目在就一直薅羊毛,项目崩了,就果断下一个,薅一个项目你是韭菜,但是同时薅100个项目,你就妥妥的镰刀王啊~
你想想是不是这么个道理。
**,根据过去的经历,做个简单的预测,以前的项目收割的是散户,散户会投资,现在散户根本不投资,全TM是薅羊毛的,现在的项目投资的都是一些团队长级别的人,而操盘手收割的就是这些团队领导人。
所以当“PAXG数字黄金”这个项目出现很多**别的大佬的时候,比如40级这样的,好像还有50级的时候,就是这个项目应该撤出的时候了。
因为领导人到了***别,除了提现,还有什么其他的想法吗?
没有。
所以操盘手肯定要先于领导人一步,进行收割。
所以,大家小心,一旦出现一些“PAXG数字黄金”**领导人联盟啊,“PAXG数字黄金”核心500人等等这样的群或者这类似的群体开始走上前台发言,说明项目已经到了尾声。
当然,如果你正在参与这个项目,可以把项目的近期的情况给我后台留言,我看到的话会给你一些我的看法,仅供交流。
如果你也做互联网+区块链项目,一定要关注我一下,定时定量分享业内新新闻,项目资讯,盘面危机预警等,关注我,你不会有什么损失,看了我的文章一定会有所收获。
文章标题:“PAXG数字黄金”实为诈骗资金盘
文章链接:https://www.btchangqing.cn/573542.html
更新时间:2023年07月09日
本站大部分内容均收集于网络,若内容若侵犯到您的权益,请联系我们,我们将第一时间处理。