-
180
BTC谈论斐波那契级数已经很久了。我们继续吧
Fibonacci通道适合辅助判断长期周期趋势。据该频道介绍,0.786是非常有效的支撑。它支撑了六次下跌,可以判断是有效的。 1在斐波那契级数通道中,核心理论是我们通常判断0.382和0.618为强引力势,也就是说,如果价格徘徊在0.5左右,我们会被它们吸引。那么随后突破0.5自然会中心化在0.382上,如果跌破0.618,我们或许可以重新测试低点。小白,学这个也挺容易的,至少你不会错什么行情,…
-
80
eth近期运行记录
交易系统核心指南【适合人群】 。新手小白,从来没有接触过交易,不知道什么是交易系统。2.交易长期亏损。从来没有一个完整的交易系统。有了交易系统,但还是亏损,我不知道问题出在哪里。 4.盈亏不稳定,大利撤退 可以联系Wx:Fair BTC从0到1,手拉手教你建立自己的交易系统, a6021
-
230
比特币已经被逆转。还有耐心的余地
新手小白,从来没有接触过交易,不知道什么是交易系统。2.交易长期亏损。从来没有一个完整的交易系统。有了交易系统,但还是亏损,我不知道问题出在哪里。 如果您是a6021,可以联系Wx:Fair BTC paid service
-
160
昨日比特币策略空单逐日震荡,思路正确,收获2000点盈利空间
昨天给出的BTC想法是完美的。预测是在37600点附近直接入市,结果和我的预测完全一致。市场在盘算中被掐住了脖子,今天市场已经跌到了35600点左右,2000多点的利润将再次获得。恭喜那些敢于跟上董晨步伐的客户。他们既贪婪又勇敢。他们始终相信,董晨的朋友让我们走向双赢。如果你有被套被单,或是刚刚入市的小白,或是经常被曝光,或是一直在赔钱,你可以联系我如果你是小白的新联系人,或者是经常赔钱的朋友。被…
-
100
晚间给出的ETH多单策略:收获100多个点利润 恭喜跟上的币友别墅靠大海.
给出的ETH思路是完美的,预测是直接2680附近多单进场,而结果与我预测完全一致,把行情掐死在计算当中,2680布局多单,行情涨到2800附近。再次收获100多点利润。恭喜敢跟上董晨一起的客户,够贪,有胆,一直相信董晨的朋友让我们一起走向共赢的局面。 如果有被套单,或者刚进场的小白,亦或者实经常被爆仓,或者一直在亏损的,可以联系我..如果你是刚接触的小白,或者是经常亏损爆仓的朋友。被套单的朋友,让…
-
90
Eth晚间多单策略:获利超过100分。恭喜你在海边赶上了投币朋友别墅
给出的想法是完美的。预测2680点附近有多个订单入市,结果与我的预测完全一致。市场在计算中被扼杀了。2680布局有多个订单,大盘升至2800点左右,再获100点以上利润。恭喜那些敢于跟上董晨步伐的客户。他们既贪婪又勇敢。他们始终相信,董晨的朋友让我们走向双赢。如果你有被套被单,或是刚刚入市的小白,或是经常被曝光,或是一直在赔钱,你可以联系我如果你是小白的新联系人,或者是经常赔钱的朋友。被套被单的朋…
-
170
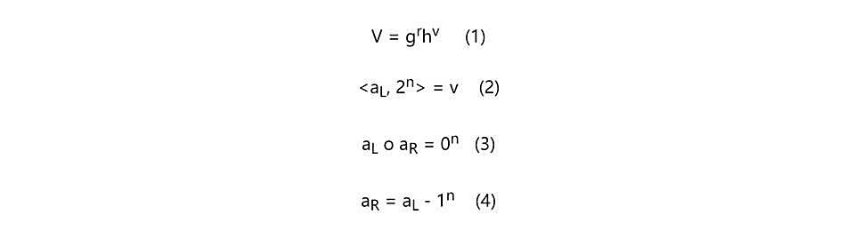
ZKSwap 团队解读零知识证明算法之 Bulletproofs:Range Proof 1
撰文: ZKSwap 江小白 前言 Bulletproofs,又一个有意思的零知识证明算法,相信读者已经很熟悉它了。和 zk-snark 相比,它不需要可信设置;和 zk-stark 算法相比,它具有较小的 proof size。 根据论文,它有两个方面的应用: 1. 用于 range proof; 2. 用于一般算术电路的零知识证明。下面,让我们先看一下 Bulletproofs 是如何高效的实…
-
160
我不懂行情,来卓革夜店支招
大家晚上好。现在BTC的价格在30000点上下浮动几千点。将其与之前的波动率进行比较是正常的。这也是卓格连续几天直播的话题。保持低杠杆,否则很容易爆发。当然,这是对我们的警告。事实上,波动性很大。只要我们善于运用分析和预测,按时盈利也是非常客观的。今天一共下了两个订单。第一单卓格通知我们入市,利润600分,实实在在盈利。第二单有点尴尬,止损200分。今天,卓格遭遇了每分钟3000分的降幅。诸葛总这…
-
110
卓阁BTC市场下午茶
大家好,欢迎来到卓格市场下午茶上周,截至昨晚,卓格策略共获利8500点。因为大家都知道卓格的计算更可靠。它是根据卓格的策略出入点来计算的,有时包括卓格的直播或私人聊天通知出入点。不按最大利润计算。比如,当天利润3000点少100点的那一位就没有计算在内。如果利润超过2万分,应该按照最大利润来计算,我真的很感谢市场的青睐,否则我就不会有这么好的结果。这两天,市场造就了不少新贵。当然,有的人赚钱,有的…
-
-
-
650
陈哥说币:11.16晚间btc分析
认知程度决定成败与高远,一个人的认知能力强,那么他成功的几率就大,赚钱的机会就多,走的就长远。如果认知能力低下,或者说小白一个,在市场中追涨杀跌,盲目操作,就会被市场淘汰出局,前天的BTC策略完美获利,从各项指标来看只有KDJ三线向上,其他指标基本走平,当前是横盘了,目前币价稳定在16200左右,陈哥晚间建议:稳健可以等币价在16000左右,看多300个点,激进现价16200,看多100-200个…
-
-
250
11.9比特币午盘市场分析及操作建议:选举尘埃尚未尘埃落定。是涨还是跌?
突如其来的趋势,沉默不语的样子,不是市场的错,而是你没有做,我的判断,你的观点,不需要急着反驳,冷静去战斗,方向不是随意勾勒,成长是时间的积累,每个人都会累,学会笑而不语,要自由,不要堕落BTC市场分析:从盘面震荡向上看,早盘最高上涨至15650线位置,随后震荡小幅回落。从小周期小时水平看,币的高价位震荡触及15650点,随后又回落。从震荡下行的角度来看,多头再度触底,说明短期多头相对较强。目前,…
-
-
-
-
-
-
-
-
-
160
10.14btc市场分析及运营建议:你把握方向了吗
突如其来的趋势,沉默不语的样子,不是市场的错,而是你没有做,我的判断,你的观点,不需要急着反驳,冷静去战斗,方向不是随意勾勒,成长是时间的积累,每个人都会累,学会笑而不语,要自由,不要堕落BTC市场分析:煎饼日线下行收阴,煎饼的高触压有所回落。从能量空间的角度看,它已经由正变为负。如果你看了4个小时,价格渠道已经关闭。如果赛道上的压力是明显的,那么连续几天持续的积极格局就略显营养过剩。如果市场人气…
-
小白
畅游区块链世界的得力助手
全部标签
小白-共 0 个作品
今日上传
0个作品

















![[市场知名专家]调整2万点之后,牛市还在吗?](https://btchangqing.oss-accelerate.aliyuncs.com/wp-content/uploads/2020/11/20201108_5fa87e4c65b3a.jpg?x-oss-process=image/resize,m_fill,h_350,w_566/sharpen,120)









