背景
2021 年 1 月 27 日,据慢雾区情报,SushiSwap 再次遭遇攻击,此次问题为 DIGG-WBTC 交易对的手续费被攻击者通过特殊的手段薅走。慢雾安全团队在收到情报后立马介入相关事件的分析工作,以下为攻击相关细节。
SushiMaker 是什么
SushiMaker 是 SushiSwap 协议中的一个重要的组件,其用于收集 SushiSwap 每个交易对的手续费,并通过设置每个代币的路由,将不同交易对的手续费最终转换成 sushi 代币,回馈给 sushi 代币的持有者。这个过程就是发生在 SushiMaker 合约上。
说说恒定乘积
恒定乘积的公式很简单,在不计算手续费的情况下,恒定乘积的公式为

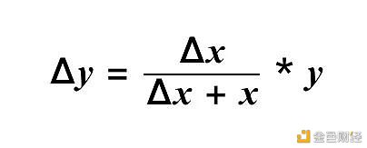
也就是说每次兑换,其实都是遵循这个公式,及交易前后 K 值不变,在兑换的过程中,由于要保持 K 值不变,公式的形式会是这个样子

其中 X 代表卖掉的代币,Y 代表要购买的代币,那么每次能兑换到的代币数量会是这个样子(具体的推导过程就不演示了 :D)

从公式上可以看到,当输出代币 Y 的兑换数量上限取决于 Y 代币的数量,而和 X 代币数量的大小无关,反过来说,如果要卖掉的 X 代币数量很大,但是 Y 代币的数量很小,那么就会造成大量的 X 代币只能兑换出少量的 Y 代币,而这个兑换价格相比正常的交易价格会偏离很多,这就是所谓的滑点,是本次攻击中的关键。
攻击流程
2020 年 11 月 30 日,SushiSwap 就曾因为 SushiMaker 的问题出现过一次攻击(详解参阅:以小博大,简析 Sushi Swap 攻击事件始末),本次攻击和第一次攻击相似,但流程上有区别。相较于旧合约,在新的合约中, 手续费在兑换的过程中会通过 bridgeFor 函数为不同交易对中的代币寻找特定的兑换路由,然后进行兑换。

其中,brdigeFor 函数的逻辑如下:

根据 bridgeFor 的逻辑,我们不难发现,如果没有手动设置过特定币种的 bridge,那么默认的 bridge 是 WETH,也就是说,在未设置 bridge 的情况下,默认是将手续费兑换成 WETH。而 DIGG 这个币,就是正好没有通过 setBridge 设置对应的 bridge 的。

但是这里还有一个问题,就是在 swap 的过程中,如果这个交易对不存在,兑换的过程是失败的。本次攻击中,DIGG-WETH 这个交易对一开始并不存在,所以攻击者预先创建一个 DIGG-WETH 的交易对,然后添加少量的流动性。这个时候如果发生手续费兑换,根据前面说的恒定乘积的特性,由于 DIGG-WETH 的流动性很少,也就是 DIGG-WETH 中的 WETH 上限很小,而 SushiMaker 中的要转换的手续费数量相对较大,这样的兑换会导致巨大的滑点。兑换的过程会拉高 DIGG-WETH 交易对中 WETH 兑 DIGG 的价格,并且,DIGG-WETH 的所有 DIGG 手续费收益都到了 DIGG-WETH 交易中。通过观察 DIGG-WETH 交易对的流动性情况,流动性知名的时候也才只有不到 2800 美元的流动性,这个结果也能和公式的推导相互验证。

攻击者在 SushiMaker 完成手续费转换后,由于 DIGG-WETH 交易对中 WETH 兑 DIGG 的价格已经被拉高,导致少量的 WETH 即可兑换大量的 DIGG,而这个 DIGG 的数量,正是 DIGG-WBTC 交易对的大部分手续费收入。

总结
本次攻击和 SushiSwap 第一次攻击类似,都是通过操控交易对的兑换价格来产生获利。但是过程是不一样的。第一次攻击是因为攻击者使用 LP 代币本身和其他代币创建了一个新的交易对,并通过操纵初始流动性操控了这个新的交易对的价格来进行获利,而这次的攻击则利用了 DIGG 本身没有对 WETH 交易对,而攻击者创建了这个交易对并操控了初始的交易价格,导致手续费兑换过程中产生了巨大的滑点,攻击者只需使用少量的 DIGG 和 WETH 提供初始流动性即可获取巨额利润。
相关参考链接如下:
SushiMaker 归集手续费交易:
https://ETHerscan.io/tx/0x90fb0c9976361f537330a5617a404045ffb3fef5972cf67b531386014eeae7a9
攻击者套利交易:
https://ETHerscan.io/tx/0x0af5a6d2d8b49f68dcfd4599a0e767450e76e08a5aeba9b3d534a604d308e60b
DIGG-WETH 流动性详情:
https://www.sushiswap.fi/pair/0xf41e354eb138b328d56957b36b7f814826708724
Sushi 第一次被攻击详解:
https://mp.weixin.qq.com/s/-Vp9bPSqxE0yw2hk_yo*
By :yudan@慢雾安全团队
文章标题:如何通过恒定乘积黑掉 SushiSwap ?简析 SushiSwap 第二次被攻击始末
文章链接:https://www.btchangqing.cn/185936.html
更新时间:2021年01月27日
本站大部分内容均收集于网络,若内容若侵犯到您的权益,请联系我们,我们将第一时间处理。