宋庆华
在跨链资产交换池thorcain中,符文作为结算货币,可以作为锚定资产的交换层,如BTC到wbtc,BTC到renbtc。
符文也有安全任务。比特币使用一CPU一票的pow机制阻止对其网络的控制,ETH2.0使用32ETH一票的POS机制阻止对其网络的控制;thorhain也是一个POS网络,thorchain的节点需要提交押金(至少100万符文,现值为6000万)该保证金不仅用于获得节点资格,还用于承销池中的资产。
因此,如果一个节点想要窃取资产,则会扣除该节点的保证金,金额为1.5倍。这样,节点就不会作恶。
自半年多前上市以来,与发行价0.018366元相比,已经上涨了200多倍。到底是什么样的人在追逐这个隐藏的百倍硬币,符文又是如何吸引这些玩家的呢?火星金融app带你认识索坎,被业界比喻为跨链Uniswap——它可以帮助你不经许可或托管直接跨链交易,实现资产的直接交换。

1、 thorchain的安全性与Rune的价值捕获
供应链安全
对于在其自身区块链上运行的DeFi协议,安全性尤其重要。它不仅是吸引竞争对手资金的重要优势,也是竞争优势的重要来源。更安全的协议为用户提供了更多的信心,因此它们对高价值的事务更具吸引力。Delphi最近采用了跨链流动性协议thorchain,这是一个很好的例子。ThERChain的代币经济学确保其安全性与网络中增加的流动性成正比。具体来说,它确保了质押和绑定符文(池中)的总价值至少是流动性池中所有外部资产的三倍。一旦比率偏离其3:1的目标,thorchain通过调整来自或流向验证者或流动性提供者的系统收入来实现这一目标。因此,从thERChain分支流动性并不会使其效用分叉,因为它不会使其安全性分叉。
02符文的价值捕获
符文是怎么工作的?首先,符文是索坎的结算资产。为了交换索坎的资产,必须使用符文。例如,如果用户将BTC交换为ETH,则将通过符文完成。其次,符文充当节点的保证金和流动性池资产。Thorchain是一个节点网络。Thorchain是一个POS链,其节点需要锁定边距才能参与分块。
具体来说,为了保证托尔坎的网络安全,在其设计定位上,参与托尔坎网络的运行资产中67%作为节点保证金,33%作为流动性池资产。Rune的流动资金池包括外部资产和本地资产。所有外部资产都通过符文连接。由于符文的作用,符文的价值随着流动性池资产的增加而增加。
2、 以太坊收费市场变革方案与连锁企业激励钟摆机制
01 以太坊费用市场变更建议书
目前的以太坊收费市场采用简单的一价拍卖机制来定价交易成本。这种拍卖机制是次优的,给竞买人带来了相当大的成本,因为每个竞买人都需要按照其他竞争者的预期出价进行竞价。Eip-1559通过自适应的计费机制解决了这个问题,使得总的计费可以超过网络的社会成本。
拟议的交易成本包括动态调整的基础费和矿工小费。区块利用率是决定基本成本的主要因素
当块使用率高于目标使用率时,基本成本会增加,否则会降低。这种成本调整算法寻求博弈论均衡,并建立了成本下限。这个提议可能是以太坊 1.0中最重要的改变,它将极大地改变用户体验和货币政策。
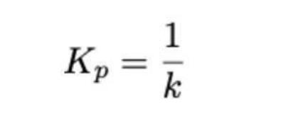
毫不奇怪,EIP-1559可以被描述为一个反馈控制问题

算法中的误差项如下

基本的成本调整算法也是比例控制器

控制输入为:

以及

02链条激励摆机构
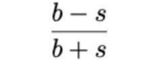
ThERChain是一个去中心化的网络,以促进跨链资产交换。协议要求系统的总池资本大于保证资本以确保其安全性。在该链中,2:1的资本比率被认为是系统的**状态。这种激励摆机制就是使系统处于一种平衡状态。它将通货膨胀总报酬和交易费用重新分配给参与者,使系统逐渐收敛到**状态。特别是,分配给流动性提供者的系统收入比例为:

其中,B和s代表担保资本和集合资本总额,其余部分交给债券人。在**状态下,激励摆将33%的系统收益分配给流动性提供者,66%的系统收益分配给债券持有者。如果系统只有担保资本,激励钟摆将把系统收入的*分配给流动性提供者。
ThERChain的激励摆使用一个确定的公式来计算系统的收入分配。虽然没有采用PID控制器的计算公式,但激振摆与PID控制器有着非常相似的概念
控制信号是一个误差函数,其中误差是测量的集合资本约束和**集合资本约束之间的差值。
3、 连锁经营原则:如何实现跨连锁资产交换
ThERChain是一个基于tendermintcoos SDK的流动性协议。它使用门限签名方案来创建一个没有许可和信任的跨链交易市场。thorchain的流动性也由流动性提供者提供。流动性提供者可以赚取交易成本和代币激励。这与Uniswap类似。市场价格由资产池中的资产比率维持。如果池中价格偏离市场价格,套利者将通过套利使其价格与市场价格一致。它与Uniswap的主要区别在于可以实现直接的跨链资产交换。
交易链中有四个角色:流动性提供者、转换者、套利者和节点运营者。节点运营商负责维护网络的运行和安全,可以获得符文的代币奖励,但同时还需要提交押金,防止其作恶。
从技术层面看,支持thERChain运行的有三个方面:单向状态pegs、状态机和TSS协议。它将这三种技术结合起来,通过运行代币的激励机制,形成了thorchain的去中心化跨链交换机制。

01单向状态锚定
交叉链状态锚定连接主链和锚链。这种机制不锁定资产,只锚定链的状态,也称为单向状态锚定。其中,每个连接的链都有一个“bifr”?ST”模块,可以处理连接到链的详细信息,如链配置和事务详细信息。节点完成同步后,它们将监视每个链上的保险存储地址。如果他们看到监控的金库地址有相关的条目事务,他们会将其转换为thorchain的见证事务。无论交易类如何,每个链的见证交易参数基本相同。ThERChain处理每个观察到的事务并收集签名者。一旦绝大多数节点同意一个特定的事务,它就会从等待状态过渡到最终状态。简言之,thorchain节点观察其他区块链交易,然后通过节点的共识来证明交易的发生。
从兑换者的角度来看,首先,只要有相应的流动性池,兑换者就可以交易。流动性池中的资产由运行资产和其他链资产组成。每个池都运行,将所有池资产连接在一个连续流动性网络中,形成一个连续流动性池。当用户交换thERChain上的两个链接链资产时,他们在两个池中交换它们。首先,他们将链资产交换为第一个池中的符文,然后将符文转移到第二个池中,并将这些符文交换为第二个池中的目标资产。在这个过程中,用户不会感知到符文,而符文可以由状态机处理。
02 thorchain的状态机
状态机处理已完成的事务和执行逻辑,例如排序事务、计算状态更改并将它们委托给特定的vault。**,创建txout条目并将其存储在keyvaule存储中。
03门限签名方案(TSS)
thorchain采用门限签名机制的核心原因是安全性。转移链中资产的首要考虑是安全。通过TSS,thorchain可以提供更**别的安全性,并在生成新地址和签署事务时降低风险。创建最终事务后,签名者从本地副本下载事务,并使用相应链的客户端将其序列化为目标链的正确事务。然后它被发送到TSS模块,该模块协调密钥签名。最终签名的事务将广播到各自的链。
总之,单向状态锚定允许链不可知桥接协议;状态机协调资产交换逻辑和委托赎回交易;bifr?St签名模块将赎回交易转换为特定链的交易,TSS协议支持分布式门限密钥签名。
结论:
thorchain的核心团队和顾问在加密货币生态系统和市场方面拥有多年的经验。他们在构建coos SDK和binance链方面有着丰富的经验,甚至还获得了intERChain基金会开发奖和coos Hackathon奖。

然而,团队中只有四个开发人员,这就是项目开发缓慢的原因。火星金融应用程序发现,在thorchain于2020年6月8日在公共测试网络上发布后,截至2021年2月2日,它仍然在thorchain V0.1上停留了几个月。
这也增加了未来的风险。ThERChain首先推出了bepswap,它让人们从跨链的角度来想象建立一个去中心化的交易所。如果成功,将从更高的维度对当前的DEX产生一定的影响。另一方面,时间不会等待。目前只有以太坊生态系统,未来随着以太坊 2.0和layer2扩展等技术的出现,随着网络的不断优化,以太坊将成为知名的生态系统,thorchain的机会还会存在吗?
显然,早期追逐符文的玩家不仅要了解符文的价值,还要有勇气押注未来。
文章链接:https://www.btchangqing.cn/191031.html
更新时间:2021年02月06日
本站大部分内容均收集于网络,若内容若侵犯到您的权益,请联系我们,我们将第一时间处理。