Shield 通过持仓费规避传统衍生品的头寸损失风险,同时通过高杠杆和组合流动性满足用户全新的交易需求。
撰文:Charles
2020 年,蛰伏了 2 年多的 DeFi 市场在全球流动性过剩、比特币挖矿减半启动数字资产牛市的宏观大背景以及流动性挖矿、AMM 自动做市商等微观创新下,终于迎来了大爆发。其中去中心化的稳定币、借贷和现货交易等 DeFi 领域都取得了实质性的飞跃,并逐渐诞生了一批龙头项目。
DeFi 的革命性特质
这些项目的成功让我们认识到了 DeFi 的革命性特质:
- 资产非托管与交易的透明:资产不再需要交由第三方可信机构托管,同时所有的交易都真实可查杜绝了人为作恶;
- 无边界的信任:信任不再受限于品牌,而是来自开源和 code is law;
- 去中介化:去除了信息和信用中介(征收中介税)这样的中心化机构,将收入 * 归还给去中心化网络的维护者(价值创造者);
长期看,这些革命性的特质将推动传统金融市场发生范式变革。DeFi 对 CeFi 和 TradFi 的冲击甚至颠覆正在成为一种不可阻挡的趋势。
衍生品 DeFi 之困
虽然 DeFi 市场在不断发展壮大,但作为全球知名的金融市场之一的衍生品领域,一直没有「代表性」的 DeFi 产品出现。这是因何所致?我们需要从衍生品市场的用户需求着手分析。
衍生品主要用于满足套保和投机需求,而当前数字资产衍生品市场主要需求为投机。多年的实践表明,投机市场用户的主要需求为:
- 点位:**地捕捉到希望开仓的价格;
- 盘口深度:需要充足的盘口流动性保障尽可能无滑点的成交;
- 杠杆率:需要足够高的杠杆以提高资金利用率;
- Know How : 需要有信任的人教授能够获利的交易知识和策略。
而基于当前公链性能的衍生品 DEX 在这些核心需求上全面落败于 CEX,正如 1700 年的蒸汽火车尚无法在速度上超过马车一样。


Shield 协议,一种创新的破局之道
Uniswap 的巨大成功并非因为提供了比当前 CEX 更好的现货交易体验,而是以无需许可、极低成本发行满足了 CEX 无法满足的长尾资产发行需求。本质上成功来自于发掘了未被满足的新市场。
只有应用区块链技术的特性,满足传统金融无法满足的需求,也许才是破局的关键。
而「无险」永续协议 Shield 就是这样一种和 Uniswap 突围路径一样的衍生品协议。以交易者视角来看:
- 做错方向,头寸 0 损失:每日缴纳一点持仓费,做错方向不用亏损,做对方向正常盈利;
- 无限盘口流动性:组合流动性池使得私池可以将做市风险对冲,同时低风险的公池可容纳巨大流动性以保障盘口流动性充裕;
- 超高杠杆率:日常约 100 倍左右,很高可至 1000 倍;
- 去中心化经纪人系统:可赚取交易返佣和让更多的人来参与交易知识的传授;
示例:
Mol 在 2500 美金开仓做多 1 个 ETH,一次性缴纳 2.5 美元(1‰)的交易手续费。此后,系统只需扣除每日的持仓费(根据波动率不同每日持仓费不同),仓位即可一直维持,以 25 美元首日持仓费为例。若 ETH 当日上涨 10%,则 Mol 盈利为 2500*10%-25-2.5=222.5 美元。若 ETH 当日下跌 10%,则 Mol 只损失 25 美金的持仓费和 2.5 美金的交易手续费。
这个是一个全新的交易需求,一直存在但未被发掘的市场。因为这类产品对于团队的金融工程产品设计能力提出了很高的挑战,同时还需要弥合巨大的信任鸿沟。而 Shiled 团队成员**金融机构及一线互联网企业的经历加上区块链的特性,让这类产品的落地成为了可能。
Shield 协议背后的金融工程
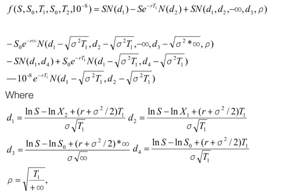
Shield 协议的金融工程内核,是一份永续的奇异期权。每日收取的持仓费即每日交易者需要付出的期权费。不同于传统的 Black-Schole 期权定价,要为一份没有交割日期,即永续的期权定价至今依然是学术界一个难解的课题。从 Shield 官方白皮书 可知,Shield 团队成功推导并求解出为 Shield 协议持仓费定价的偏微分方程的精确解析解:

同时,应用切割非线性过程,用线性计算的近似解逼近精确解的方法,完成了在链上定价。(注:当前公链无法完成复杂计算)
结论
17 世纪蒸汽机火车通过比载重而非速度在运力市场生存下来,随后不断优化迭代彻底变革了运力市场。Shield 协议充分应用了 DeFi 的革命性特质,并进行学术级的金融工程(永续期权)创新,在区块链基础设施有限的今天,满足了一直未被 CEX 满足的差异化市场需求。为衍生品 DEX 破局开创了一条新的道路。
文章标题:简析新型 DeFi 永续合约 Shield:「无风险」模式带来链上衍生品新机遇?
文章链接:https://www.btchangqing.cn/247097.html
更新时间:2021年06月12日
本站大部分内容均收集于网络,若内容若侵犯到您的权益,请联系我们,我们将第一时间处理。