从矿池的角度看,收取一定数量的服务费是抵御经营风险的重要手段之一。
原文标题:“挖矿池为什么要收服务费?》
作者:印钞与挖矿池
10月16日,硬币印刷创始人兼CEO潘志彪宣布,印钞品牌全面升级。以矿池为核心,开展多品牌联动发展,开展投资挖矿、印钞挖矿池、印钞云计算、印钞金融等多条业务线。
a6021印钞有限公司创始人兼CEO潘志彪在闽阴2020区块链峰会上致辞
会上,潘志彪提到了矿池破产的风险。
a660202矿石池破产风险计算公式
上图所示为用于评估矿池破产风险的公式。F为手续费,R为矿井池储量,B为区块收益,δ为破产概率。假设矿池在重复随机排放的情况下,无恶意攻击和技术漏洞,当矿池储量r=1000btc,区块收益B=12.5btc时,可根据不同的手续费计算相应的破产概率。
δ=exp(-2*0.005*1000/12.5)=44.9%
δ=exp(-2*0.01*1000/12.5)=20.2%
δ=exp(-2*0.02*1000/12.5)=4.1%
δ=exp(-2*0.04*1000/12.5)=0.2%
(R=1000,B=12.5)
可以看出,当储量为1000 BTC时,区块收益为12.5 BTC,手续费为0.5%,矿池破产概率为44.9%;手续费为1%时,破产概率为20.2%。
所以我们可以扭转储备的规模。维持一定的破产概率需要多大。
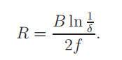
储量规模计算公式
上图为储量规模计算公式。F为手续费,R为矿场储备基金,B为区块收益,δ为破产概率。当区块收益B=12.5btc时,我们可以计算出当手续费为2%时,矿场储备基金为1439 BTC。
R=12.5*ln(100)/(2*0.04)=719
R=12.5*ln(100)/(2*0.02)=1439
R=12.5*ln(100)/(2*0.01)=2878
R=12.5*ln(100)/(2*0.005)=5756
下图显示了收入风险曲线。当服务费用稍高时,风险会迅速降低。如果没有服务费或补贴,风险会非常大。
收益风险曲线(横轴为比率,单位为%;数字轴为风险,单位为%)
综上所述,如果你是一家投资机构或赌场的玩家,可以说一个矿池相当于一个赌场,而矿业就是一个玩家。赌场长期发展的一个非常核心的因素是,赌场具有创客优势,这可以通过收取服务费来体现。如果游泳池不收服务费,从长远来看,玩家将跑出赌场。因此,在矿池打价格战是不合理的,如果不收手续费,还是会有损失的。
从矿池的角度看,收取一定数量的服务费是抵御经营风险的重要手段之一。
作为一个理性的矿业投资者,应该从技术、安全、稳定性、服务、收费等多个方面进行分析。
文章标题:矿山为什么要收取手续费?对矿山资源库破产概率与储备的认识
文章链接:https://www.btchangqing.cn/125951.html
更新时间:2020年10月20日
本站大部分内容均收集于网络,若内容若侵犯到您的权益,请联系我们,我们将第一时间处理。