栏目介绍
「知矿大学问答」是以问答的形式,邀请行业**从业者,解答用户挖矿相关的提问。提出好问题并被采纳的用户,将会获得知矿大学精美周边一份。
读者 @仰望星空 提问:比特币挖矿,每T算力一天的理论产出是如何计算的?
知矿大学小编@OWEN的回答:
在计算每T算力一天的理论产出之前,我们首先要知道以下几个概念:
-
难度(Difficulty):指挖矿的难易程度,找到符合系统要求的Hash值的困难程度。
-
算力(Hashrate):单位时间内,矿机完成Hash计算的次数;
-
系统奖励(Block Reward):挖出一个新区块,系统给矿工的比特币奖励,目前阶段是12.5比特币。
比特币网络初始难度定义为1,即 Difficulty=1,它所表示的意思是,比特币网络刚开始运行的时候,每进行 2^48/(2^16-1)≈2^32 次Hash计算,理论上能挖出一个区块。
随着挖矿算力的提升,比特币挖矿难度在不断提升,当挖矿难度为D时,理论上挖出一个新区块需要进行 D*2^32 次哈希运算。
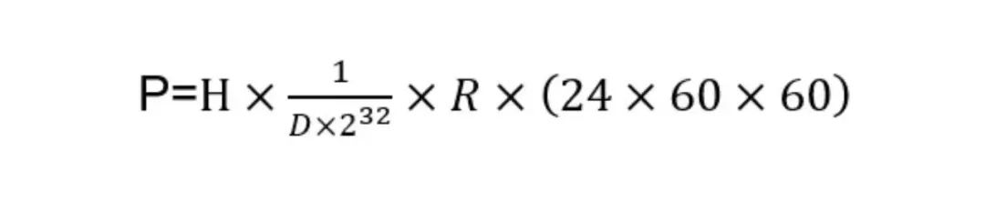
矿工的算力为H(单位为hash/s),他每天(24小时)的币产出为P ,挖矿难度为D,系统奖励为R,那么:

我们假设矿工算力为1TH/s(即10^12H/s),难度D可以通过相关网站查询,当前的难度D=15958652328578 ,系统奖励R=12.5比特币,计算得到1T算力每天的收益P=0.0001576比特币。

▲数据来源:
比特币每T算力的理论产出通过网站就可以查到,下图中的PPS结算方式下每T算力的收益,即为每T算力的理论产出。

▲数据来源:
挖出新区块除了系统奖励之外,还有打包交易的矿工费,这部分产出该如何计算呢?这跟矿池的结算方式相关,这也另外一个用户的提问,我们将在下篇「知矿大学问答」文章里讨论,敬请期待。
关于挖矿你有什么想知道的,欢迎到知矿大学微信公众号、微博或私信小编进行提问。
文章标题:怎么计算比特币挖矿的理论产出?
文章链接:https://www.btchangqing.cn/13675.html
更新时间:2020年04月29日
本站大部分内容均收集于网络,若内容若侵犯到您的权益,请联系我们,我们将第一时间处理。