
栏目介绍
「知矿大学问答」是以问答的形式,邀请行业**从业者,解答用户挖矿相关的提问。提出好问题并被采纳的用户,将会获得知矿大学精美周边一份。
用户 @向小猪学时间管理 的提问:
矿池按什么方式给矿工结算收益?
知矿大学小编 @OWEN 的回答:
这个话题也是之前的文章《知矿大学问答:怎么计算比特币挖矿的理论产出?》里提到的问题。
比特币的挖矿机制是工作量证明(PoW),所以聚合了众多矿工算力的矿池,是根据工作量证明给矿工分配收益的。根据算力大小,按劳分配是矿池给矿工结算收益的基础框架。
在此框架下,矿池有多种结算方式。目前比特币矿池主要的结算方式为FPPS和PPS+。除此之外,此前PPS、PPLNS等也曾是行业主流的分配方式。下面,我们来逐一介绍。
在矿池发展的初期,矿池间的竞争还不充分,再加上当时矿工费占比低,所以当时的结算方式主要为PPS和PPLNS。这两种结算方式只给矿工分配系统奖励,不分配交易手续费(也称矿工费),具体的分配方式略有不同。
01PPS结算方式
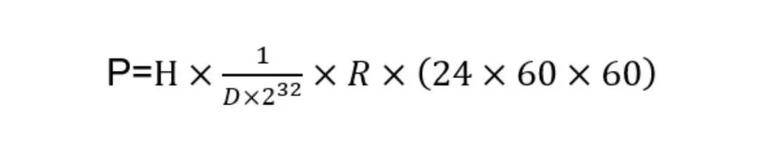
PPS即Pay Per Share,根据矿工提交的有效工作量来结算收益。具体的计算方式在之前的推文《知矿大学问答:怎么计算比特币挖矿的理论产出?》中介绍过:

其中,P为矿工一天(24小时)的理论收益,H为矿工的算力(单位H/s),D为挖矿难度,R为系统奖励。
选择PPS结算的矿工,他们与矿池的关系相当于打工者与公司的关系,矿工的收益不受矿池幸运值波动的影响。不管矿池幸运值如何,PPS结算方式下,只要矿工算力、挖矿难度、系统奖励确定了,矿工的收益就是确定的,拿稳定的“工资”
我们对幸运值做一个介绍。假设某彩票池,一共有1000张彩票,其中有100张能中奖,每张彩票中奖金额都一样;其余900张是不能中奖的彩票,中奖率为10%。如果你有100张彩票,开奖后发现刚好有10张彩票中奖了,实际中奖率刚好等于理论概率,你的幸运值就是*。如果实际中奖率高于数学概率,比如有12张彩票中奖了,那么你的幸运值就是120%;如果实际中奖率低于数学期望,比如有9张彩票中奖,那么你的幸运值就是90%。
简单来说,一个矿池的幸运值等于实际得到的系统奖励/理论的系统奖励**。
02PPLNS模式
PPLNS即Pay Per Last N Share,根据过去提交的N个工作量(Share)来结算收益。这种结算方式有一定的滞后性。矿池在总共接受N个share后,统计这段时间内,矿池一共得到了多少系统奖励的比特币,然后根据矿工提交share数在这N个share中的占比来分配收益。
PPLNS结算方式下,矿工与矿池的关系相当于“公司合伙人与公司”的关系。矿池幸运值高,矿工的收益就高;如果矿池幸运值低,一天都不出块,矿工就没有收益。
假设矿池以PPLNS方式给矿工结算收益,该矿池当天得到125比特币的系统奖励,当天矿工A贡献了10%的share,那么矿池将给矿工A分配12.5比特币的收益。当然矿池给矿工服务,要收服务费的,这里我们不考虑服务费。
随着矿池之间竞争的加剧,矿池希望吸引更多算力接入。矿池不仅将系统奖励分配给矿工,矿工费(也叫交易手续费)也分配给矿工。打包手续费的结算方式也有不同,因此演化出了PPS+和FPPS的结算方式。
0PS+
PPS+即Pay Per Share Plus,这种结算方式,系统奖励部分与前面介绍的PPS是一样的,矿池每天得到的矿工费则按照实际算力占比来分配。
举例说明,假设矿池以PPS+的方式给矿工结算收益。系统奖励部分,矿工A一天的理论收益10BTC,矿工A算力占该矿池10%的算力,该矿池当天得到所有矿工费为2BTC,那么在忽略矿池费率的情况下,当天矿池要给矿工A分配:10BTC+2*10%BTC=10.2BTC。
也就是说,PPS+的结算方式,系统奖励不受矿池幸运值的影响,而矿工费的部分与矿池收到的总矿工费相关,而矿池的矿工费受其幸运值的影响。幸运值越高,打包交易一般也更多,收到的手续费一般也更多。如果矿池一天没出块,矿工也就分不到矿工费了。04FPPS
FPPS即Full Pay Per Share,意思是不管是系统奖励还是矿工费都按照理论值结算。
举例说明,假设矿池以FPPS的方式给矿工结算收益。系统奖励部分,矿工A一天的理论收益为10BTC。当天全网的矿工费与系统奖励比值为1.5%,忽略矿池费率的情况下,矿池要给矿工A分配:10*(1+1.5%)=10.15BTC。
FPPS结算模式下,矿工收益与矿池幸运值波动完全没有关系。
05SOLO
除了上面提到的四种结算方式,还有一种方式是SOLO,即矿工独立挖矿。这种方式相当于矿池给矿工提供技术,矿工支付服务费给矿池,矿工自负盈亏。只有算力体量足够大的矿工才会选择这种模式。如果把矿池看作一个整体,矿池本身就是SOLO模式。SOLO模式意味着矿工独自承担幸运值波动的风险。
SOLO模式下,矿工相当于一个独立的矿池,其收益与提供技术的矿池的幸运值波动完全没有关系。
各种结算方式的差异,要么体现系统奖励部分,要么体现在矿工费上,要么两部分都有不同,下面是对各结算方式特点的总结:

▲不同结算方式对比
06总结
随着矿池之间竞争的加剧,矿池结算方式也越来越精细化,只结算区块奖励的PPS、PPLNS逐渐演变成结算区块奖励和矿工费PPS+和FPPS,这两种结算方式是比特币矿池目前主流的结算方式。
如果你是矿工,你会选择哪种收益结算方式?欢迎在留言区分享你的观点。
推荐阅读:「知矿大学问答」怎么计算比特币挖矿的理论产出?「知矿大学问答」什么是比特币矿场和矿池?「知矿大学问答」如何挑选优质的矿场?
文章标题:矿池按什么方式给矿工结算收益?
文章链接:https://www.btchangqing.cn/15949.html
更新时间:2020年05月04日
本站大部分内容均收集于网络,若内容若侵犯到您的权益,请联系我们,我们将第一时间处理。