本文主要对数字货币及其对商业银行的影响进行研究,从数字货币的相关概述、商业银行客户边界、活期存款稳定性和货币创造这几个方面进行具体阐述。
作者:易格格,马舒玥,李红亮,张孝茹,张馨予;原文标题《央行数字货币对商业银行影响分析》
互联网信息技术的发展推动世界进入了大数据时代,中国商业银行的生态环境也随之发生了比较大的转变,竞争态势的变化、客户的金融需求和监管制度的变化都对商业银行的生存和发展提出了较大的挑战,为了增强服务供给能力,有效提升自身的核心竞争力,商业银行有必要进行数字化转发展来推动其成长进步。本文主要对数字货币及其对商业银行的影响进行研究,从数字货币的相关概述、商业银行客户边界、活期存款稳定性和货币创造这几个方面进行具体阐述。
引言
随着世界经济的联动发展和互联网科技的进步,在全球经济总量跨越式发展的同时也驱动着全球经济结构的优化改变。在这样的时代背景下,大多数国家在支付领域追求更高水平的升级。数字经济和实体经济的充分融合发展也加快了传统货币体系的转升级的步伐,海量储存、安全交易、数据分析等技术的日渐成熟也为法定数字货币的发行提供了强大的支撑。各种数字货币得到了前所未有的发展,在全球范围的应用正加速到来。虽然在货币的技术共识、规则共识和安全共识等方面尚未成熟和完善,但仍然引起人们的广泛关注。
中国央行率先进行了央行数字货币的试点,央行数字货币,DCEP(Digital Currency Electronic Payment)字面意思为数字货币和电子支付工具。我国央行数字货币是人民币的一种数字形式,是人民银行发行,由指定的运营机构进行运营并向公众兑换,它基于广义账户体系,支持银行账户松耦合功能,与纸钞和硬币等价,是具有价值特征和法偿性的可控匿名支付工具。
互联网信息技术的发展推动世界进入了大数据时代,中国商业银行的生态环境也随之发生了比较大的转变,竞争态势的变化、客户的金融需求和监管制度的变化都对商业银行的生存和发展提出了较大的挑战,为了增强服务供给能力,有效提升自身的核心竞争力,商业银行有必要进行数字化转发展来推动其成长进步。数字人民币为商业银行的数字化转方面带来机会和一定的挑战。
数字货币的发展及和会对经济发展以及商业银行产生重要的影响,因此,应当跟随时代潮流,分析数字货币的特点和性质,并研究其对商业银行的影响。我们主要对数字货币及其对商业银行的影响进行研究,从数字货币的相关概述、商业银行客户边界、活期存款稳定性和货币创造这几个方面进行具体阐述。
数字货币简介
发展历程
近年来,随着比特币、Libra等虚拟货币的出现以及电子支付的流行,为了保障支付的安全性和金融系统的稳定性,一些国家的央行开始研究推出法定数字货币。法定数字货币是指由国家法定货币发行机构发行的,具有国家信用背书、有无限法偿能力的电子货币。中国央行较早进行了数字货币的论证研究并开展了实质性的发行推广工作。
2014年,中国人民银行成立法定数字货币研究小组,论证发行法定数字货币的可行性,经过六年的分析论证、技术研究、风险规范等,于2020年4月,在深圳、苏州、雄安新区、成都及未来的冬奥场景进行内部封闭试点测试。
2020年10月,央行开展了数字人民币红包试点,意味着数字人民币测试进入“半开放”阶段。

特点
1. 双层运营机制
第一层:中国人民银行,统筹额度与标准、全量信息管理、数字钱包管理、基础设施建设;Layer2:指定商业银行,提供数字人民币的兑换业务;其他商业银行和非银支付机构:可以承担流通服务,可理解为2.5层。
商业银行向中国人民银行交付*的准备金,人民银行给予商业银行等额的数字人民币,接下来用户通过现金或者存款等向商业银行兑换数字人民币。如果人民银行直接面向用户,人民银行就需要面对全中国所有的消费者,则需要设计一个既满足用户体验又满足高性能要求的系统,所以**的方式是由市场经济来决定,也就是说将面向用户的那一端交给商业银行或者机构来做,充分发挥市场竞争的作用。
资料来源:《关于央行数字货币的几点考虑》(范一飞),《关于数字人民币M0定位的政策含义分析》
图1 双层运营体系下的数字人民币运营模式
2. 央行保持技术中立
中国人民银行数字货币研究所所长穆长春在演讲中透露,中国人民银行数字货币研究小组最开始研究央行数字货币的时候,做过一个完全采用区块链架构的原,但基于现有技术,无法达到零售级别的高并发要求。所以,最终央行层面保持技术中性,不预设技术路线,也不依赖某一种技术。也就是说,只要商业机构能够满足央行对于数字人民币的技术规范以及用户体验等的要求,采取任何区块链或传统技术都可以。不设技术路线,意味着只要央行的数字人民币技术铺设成熟,商业银行就可以很快与之对接,这将大大缩短数字人民币推出的时间,在全球抢占领先权。
3. 数字人民币主要取代M0
(1)数字人民币定位于M0的部分替代,功能和属性与目前流通中的纸钞完全一样,本质是央行(而非支付机构)对货币持有者(居民或企业)的负债,具有无限法偿性。M0数字化是货币发展规律和支付需求催化的供给侧结构性改革。随着信息技术发展,批发资金依托支付系统实现了电子化,支持M1和M2流通的银行间支付清算系统(如大小额支付系统和网上支付跨行清算系统等)、商业银行行内系统以及非银行支付机构等各类支付系统不断完善升级,较好地满足了经济发展需要。用数字人民币替代M1和M2,既无助于提高支付效率,也会造成现有系统和资源的巨大浪费。而电子支付工具基于现有银行帐户紧耦合的模式,公众对匿名支付的需求又不能完全满足。所以电子支付工具无法完全替代M0。
(2)不依托现有的银行账户体系就可以实现价值转移,也即银行账户松耦合的特点。这意味用户在使用数字人民币时不需要绑定银行账户即可进行转账支付,这对海外那些处于贫困偏远地区,以及缺少传统金融基础设施(银行)的民众具有很强的吸引力。
(3)不计付利息。
安全保障
1. 安全性
要求防止商务中任意一方更改或者非法使用数字货币,这个更多的是体现在对数字人民币使用的监管上,甚至于说可以终止某次非法的交易。
2. 不可重复花费性
指数字货币只能使用一次,重复花费容易被检查出来。
3. 可控匿名性
即使商业银行和商户相互勾结,也不能跟踪数字人民币的使用,即除了数字人民币的发行方(中国人民银行)外,其他的机构都无法追踪用户的购买行为。
4. 不可伪造性
除了发行方以外,不能伪造假的数字货币,只有经过央行的私钥签名的才是真的数字人民币。
5. 公平性
支付过程是公平的,保证交易双方的交易过程要么都成功,要么都失败,即满**易原子性。
6. 兼容性
数字人民币的发行和流通环节,要尽可能的参照现金的发行与流通。数字货币的使用应该遵守现行的所有关于现钞管理和反洗钱、反恐融资等规定,对央行数字货币大额及可疑交易可向人民银行报告。
与电子支付的对比
数字人民币是数字化的人民币现金,由央行结算,且具有法偿性,数字人民币支付是第一层的直接支付手段。而支付宝、微信支付是一种第三方支付手段,由商业银行存储货币结算,存在极小概率的破产风险,没有法律上的法偿性,因此可以有用户不支持支付宝或微信支付。数字人民币也可实现比支付宝、微信支付安全程度与额度更高的离线支付。

商业银行客户边界
(一)数字货币的推行有利于商业银行提高支付领域的市场份额
目前,支付宝、微信等第三方支付平台在国内支付市场占有较大市场份额,虽然商业银行一直试图通过创新支付技术、加大营销和优惠力度、完善支付场景等手段提高在支付结算领域的市场份额,但是由于商业银行存在客群分割、体验不佳、结算系统运行低效等问题,目前收效甚微。相比传统商业银行支付结算,数字人民币的支付结算将有效解决客群分割、体验不佳等问题。
一方面,在传统商业银行依托银行账户的支付结算中,客户必须下载和使用特定的相关商业银行APP,会存在部分客户难以掌握操作流程等问题,覆盖客群有限;而数字人民币采用账户松耦合方式,用户无需绑定银行账户和登记个人信息就可以使用数字货币进行交易和结算活动,即降低了使用门槛,有效的解决了客群分割这一局限性。
另一方面,为充分调动各运营机构的技术创新积极性,预计央行在数字人民币的发行过程中将保持技术中立,由参与数字人民币发行的商业银行和市场机构自主选择技术路径,这将有助于商业银行之间充分自由竞争,进而促使各商业银行不断提高交易支付结算的技术水平,增强客户体验。
相比第三方支付平台,数字人民币具有更高效、更安全的交易结算系统。第三方支付本质上基于银行账户电子化交易结算,而银行账户电子化交易结算环节较为繁琐,结算完成时间较长,结算效率较低。相较而言,数字人民币交易采取点对点实时结算,省去了中间的对账、复核等环节,交易结算更为便捷。此外,数字人民币的交易结算依托于央行和商业银行强大的系统支撑,安全性远高于第三方支付平台。
(二)数字货币的推行有利于商业银行拓展业务边界
商业银行可以以支付结算为切入点,进而提供个性化的在线综合金融服务。当前,商业银行仅掌握客户银行账户往来交易数据,而不掌握客户线下现金交易数据,数字人民币的推广则将当前线下现金交易转移至线上的数字钱包,使得商业银行能够掌握客户现金往来和账户资金往来的全量闭环现金流。这将有助于商业银行应用大数据和人工智能等新兴技术,以客户全量资金往来为基点,**分析客户风险偏好、资金特点以及资产分布等,根据客户的个性化特点有针对性的推出涵盖理财、基金、股票、贵金属、保险、借贷、资金归集等在内的个性化在线综合金融服务,进一步巩固金融服务能力,实现“用户”到“客户”的转化。
(三)数字货币的推行有利于商业银行提高客户服务体验,拓宽收入来源
商业银行可积极引入其他商业生态,进而获得低成本存款沉淀。商业银行可以以数字人民币的推广为切入点,不断完善支付结算、资金管理和归集等基础设施服务,积极引入线上线下消费生态,打造涵盖吃、穿、住、行、娱乐、教育等在内的便捷化消费场景,比如和日常消费场所如餐馆、电影院等达成协议。通过不断提高用户体验,增强用户黏性,商业银行将持续获得低成本的存款积累。虽然数字人民币不构成商业银行存款来源,但是数字钱包账户和银行存款账户之间可直接兑换。如果商业银行可以做到在未来打造更加丰富和便捷的消费生态,大量闲置资金将转移至银行账户,从而形成银行低成本存款沉淀。
活期存款稳定性
(一)DCEP更具吸引力,人们选择将活期存款兑换成数字货币
1.商业银行吸存活期存款压力增大,低成本的活期存款在负债端的占比将趋于下降。
银行活期账户由于承担了一定的支付结算功能,规模较大,是商业银行最重要的低成本存款资金来源之一。根据 Wind 数据显示,截至2019年末,我国住户人民币活期存款29.5万亿元,非金融企业人民币活期存款24.3万亿元,合计约占金融机构境内人民币存款的28%。
然而随着数字人民币支付的推广和应用,部分储户选择将银行活期账户资金转移至数字钱包,造成商业银行活期存款规模趋于下降,吸存压力加大,给商业银行经营带来重大挑战。如果转出去的存款最终不能再回到商业银行资产负债表内,将导致商业银行资产负债表缩表,影响其稳健发展。
2.数字货币发行推升商业银行负债端整体付息成本率。
一是随着活期存款规模的下降,低成本的活期存款在负债端的占比将趋于下降,由此将推升商业银行负债端整体付息成本率。
二是伴随着利率市场化改革的推进,商业银行或将为了维持活期存款规模、提高活期存款吸引力,提高活期存款利率,进一步增加了商业银行负债端成本压力。
三是目前,社会公众保留一定的活期存款账户余额是为了满足日常支付需要,但数字人民币由于具有支付功能将对活期存款产生一定程度的替代,因此社会公众无需保留目前活期存款账户的余额,而选择将多余的活期存款转化为定期存款、理财等收益率更高的产品,造成商业银行活期存款余额下降的同时,高成本的定期存款等规模进一步提高,从而推升整体负债端付息成本率。
3.加大商业银行资产负债管理难度,极端情境下商业银行更容易面临储户挤兑。
上述商业银行活期存款与表外的数字人民币,表内的定期存款、理财产品等的动态变化,造成了商业银行负债端结构的不稳定,尤其是当金融体系利率水平、社会通胀水平等发生较大变化时,不同账户之间的转化将更加频繁。
一是将加大商业银行的流动性管理难度。商业银行需要尽可能保持负债的稳定性和持续性,保证资产的流动性,实现资金流出、流入的平衡。如果负债端结构稳定性下降,势必将加大商业银行的测算和预估难度,从而加大流动性管理的难度。
二是将加大商业银行的资产负债期限结构管理难度。商业银行资产负债期限结构要基本匹配,并根据市场利率走势进行适当调整,实现流动性、安全性和盈利性的统一。如果负债端各产品之间的结构和规模变动加大,势必将削弱商业银行对资产负债期限结构的掌控和协调能力,加大资产负债期限结构管理难度。
三是极端情境下商业银行更容易面临储户挤兑。当发生例如如通货膨胀、金融危机、战争等极端情境时,储户倾向于将银行存款提现。当纸币是流通中的现金时,储户提取现金存在一定的成本和风险,例如时间成本、纸币储存成本、现金遗失风险和损坏风险等。而数字货币的发行使得存款向数字人民币的转换则几乎无成本,持有风险也大大低于纸币现金,极大地提高了储户取现的便捷性。在发生极端情况时,而数字人民币兑换无限制的前提下,储户中心化地将大量银行存款转为数字人民币。在此过程中,银行存款将大量被表外化,银行资产负债表严重缩表,从而造成银行业危机和整个社会信用的严重收缩。
(二)DCEP不具备足够吸引力,人们选择保留计息的活期存款
那么对公众来说,知名的疑问可能是“为什么要选择数字货币?”“与支付宝、微信支付相比有什么区别?”。
央行数字货币相较于第三方支付与活期存款的突出优势是具有法偿性,零成本,双离线支付功能。
在大多数人眼中,在银行存款意味着**安全,由于银行在我国的特殊性,银行的破产倒闭需要经过特殊程序,即“接管”程序。算上新的包商银行破产,继海南发展银行、河北肃宁尚村农信社之后,新中国成立以来也不过3家破产银行。
首先人们存放在数字钱包、移动支付工具账户的零钱通常是满足日常生活所需,金额较小,日常转账所需手续费并不多,大额转账较少通过线上渠道;其次,微信、支付宝等第三方支付平台设计的余额宝等产品通常提供一定的利息,一定程度上可以弥补手续费支出,而数字货币则并不计息。
目前微信、支付宝也早已实现了离线支付功能。但是相较于数字货币,移动支付则要求付款方可以离线,但收款方得在线。但是随着移动互联网覆盖范围的逐渐扩大,双离线支付功能则略显鸡肋,没有网络覆盖的地区通常也是数字货币难以被广泛使用的贫困偏远地区,
除此之外,微信和支付宝定期会有大量的优惠活动,比如和店家合作满减优惠,不定时抽奖,公益活动,便民服务等,这相较于数字货币钱包而言对我们老百姓的吸引力还是更大一点,所以目前而言,习惯了微信和支付宝的我们,数字货币发行造成的影响不会太大,未来是否有影响取决于央行政策和推广力度。
货币创造
(一)第三方支付使社会流通中现金增速放缓
目前,社会支付工具主要是由第三方支付平台、银行活期账户、现金及票据构成。其中第三方支付平台以及银行活期账户的余额都以银行存款的形式体现。近年来,随着第三方支付的迅猛发展,在第三方支付产生以后,现金支付占比逐渐下降。根据央行发布的《2019年支付体系运行总体情况》和中国互联网信息中心发布的《第46次中国互联网络发展状况统计报告》,2019年我国非现金支付规模超过4000万亿元,2020年上半年我国移动支付金额达到196.98万亿元,使用率占手机网民的85.7%。
下图为M0同比增速减去CPI同比增速之后得到的走势图。如果排除2020年因为疫情产生的异常情况,在剔除了通货膨胀的因素之后,从图中可以看出,自2011年监管机构开始发放第三方支付牌照以来,M0的增速呈下降趋势,M0的增速从2011年的同比增长10%左右跌至5%左右的平均水平。可以说第三方支付使社会流通现金的增速有所放缓。
注:流通中货币(M0)数据来源为中国人民银行调查统计司,并通过计算得到同比增长率。CPI同比增长率数据来源为东方财富网。M0-CPI数据剔除每年1月、2月的异常数据值。
图2 M0-CPI
(二)数字货币与第三方的竞争影响商业银行的货币创造能力
1.从账面处理角度
而数字人民币的出现会与第三方支付展开竞争,数字钱包将部分代替第三方支付的功能。数字钱包与第三方支付的一个区别就是,数字钱包里的余额是以流通中的货币体现的,即M0。而第三方支付账户上的余额最是以银行存款的形式体现的。在原本使用第三方支付或者银行账户支付时,在交易过程中资金从一个账户被划转到另一个账户中,或者是直接在央行的支付机构备付金账户上进行划转,资金不流出银行体系。但是在数字货币产生后,公众如果想使用数字货币,只有两种兑换方式:使用现金兑换或使用存款兑换。
当使用现金兑换数字人民币时,相当于两种不同形态的M0进行互相转换,并不会对流通中的现金造成新的增量。但是当公众使用自己的存款兑换数字人民币时,商业银行资产负债表中负债端的活期存款下降,其在中央银行的存款准备金也减少,特别是其中超额准备金的部分的减少,所以商业银行货币创造的能力将受到一定影响。
2.从货币乘数角度
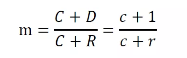
从货币乘数的角度来看的话,商业银行通过发放贷款创造货币,其创造的存款与基础货币的比值为货币乘数,反映货币创造能力的大小,用公式表示为:

其中,m表示货币乘数;C表示现金;D表示存款;R表示商业银行存放在中央银行的存款准备金;c表示现金漏损率,由C/D得到;r表示存款准备金率,由R/D得到。
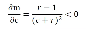
为了衡量现金漏损率的影响,将货币乘数对现金漏损率c求偏导得:

由于存款准备金率r总不大于1,所以货币乘数对现金漏损率的函数关系为减函数。即在r不变的情况下,现金漏损率c越大,货币乘数m越小,商业银行货币创造的能力也会越小。
上文中提到,公众用存款兑换数字人民币,在数字人民币实现其支付手段之后进入另一个使用者的数字钱包中。这名使用者可以考虑将数字货币留在数字钱包中作为日常使用,这将导致商业银行的存款**性下降,流通中的货币上升。这位使用者也可以考虑将收到的数字人民币重新转换成存款,如下图所示。但是这一过程已经经历了2、3、4三个环节,货币流出银行体系的时间增加了,所以从整个社会层面平均来看,在使用数字货币之后流通中的货币总会适当提高,现金漏损率增加,商业银行的货币创造能力减弱。
图3 使用存款兑换数字人民表货币循环过程
总结
数字人民币作为一种松耦合、双层运营、中心化的货币,具有很好的安全保障,同时还具有不计息的特点。其数字货币的特性能够降低商业银行原本管理库存现金的运营成本,还可以帮助商业银行不断拓展新的业务场景。不过尽管央行在设计数字人民币的时候已经尽**努力将数字人民币对金融系统带来的负面影响降到了**,但数字人民币还是不可避免地造成了商业银行负债端活期存款的波动以及货币派生能力的下降。并且,数字人民币作为一种不计息的货币,一方面不会给商业银行带来额外的成本,但另一方面,数字人民币也就丧失了与支付宝的余额宝、微信支付的零钱包等有利息的第三方支付方式的竞争力。在线下电子支付完善的东部沿海地区及大城市,数字人民币将如何获得人民的青睐,以及在信用卡、支票支付占据高份额的海外市场,数字人民币又将如何助推人民币国际化,这些都是数字人民币的设计还有待考量的地方。
参考文献:
[1]银行行业:数字货币的逻辑和应用[R]. 中信证券研究部,2020.
[2]汤奎.数字人民币的发行和运营:商业银行的机遇与挑战研究[D].观察思考,2020(11).
[3]陆岷峰,周军煜.数字货币背景下商业银行业务未来发展前景、变革与重构[J].西南金融,2020(09):3-13.
[4]孙文博.浅析央行数字发行对商业银行个人业务的影响[J].财会学习,2020(19):143-145.
[5]徐亚男.展望央行推行法定数字货币对我国商业银行的影响[J].上海商业,2020(05):84-86.
[6]江洁,廖茂林.数字货币冲击与商业银行的应对策略[J].银行家,2019(12):102-104.
[7]邱勋.中国央行发行数字货币:路径、问题及其应对策略[J].西南金融,2017(03):14-20.
[8]戴金平,黎艳.货币会消亡吗?——兼论数字货币的未来[J].南开学报(哲学社会科学版),2016(04):141-149.
本文为中国人民大学《商业银行业务与经营》课程课堂习作,作者为易格格(2018级金融3班)、马舒玥(2018级金融3班)、李红亮(2018级金融3班)、张孝茹(2018级金融3班)、张馨予(2018级新闻4班)。
文章链接:https://www.btchangqing.cn/173118.html
更新时间:2021年01月04日
本站大部分内容均收集于网络,若内容若侵犯到您的权益,请联系我们,我们将第一时间处理。