我们基于多家交易所的限价指令簿数据构建比特币市场整体状况指数,揭示市场的整体深度,并运用贝叶斯统计推断支撑和阻力的位置。
交易所的选择参考bitmex指数和deribit的btc usd指数获取数据来源,采用binance、bitstamp、bittrex、CoinBase pro、Gemini、Huobi、Kraken和okex交易所的比特币现货数据,并将其订单量单位统一为美元进行比较。
1、 合计限价指令簿
下图显示了2021年2月1日18时03分左右汇总后,每家交易所超过10000美元的订单情况

图1金额超过10000美元的账单情况
从上图可以看出,Kraken和CoinBase Pro的购买价格高于binance、Huobi和okex。事实上,有时一些交易所的买入价高于其他交易所的卖出价,这就提供了一些套利机会。

图2:超过500000美元的注册订单数量
上图显示了比特币现货市场订单高于50万美元的情况。不同价格的订单数量是根据每个交易所的数据进行汇总的。例如,在34700的售价上,有一笔价值83万美元的比特币销售,由来自三家交易所的注册订单组成:okex、Kraken和binance。

图3金额超过200万美元的账单情况
上图仅显示价值超过200万美元的票据。可以看出,在33500美元和38500美元之间有一些大额票据,它们的金额大致相同。如果我们进一步分析这些法案的分布,我们可以得出更多的结论。

图4:超过500万美元的注册订单数量
在上图中,只选择了价值超过500万美元的列表。有意思的是,一些与当前价格有较大偏离的卖出指令在一些交易所已经存在了很长一段时间,这种挂起的指令一般不在我们的分析之列。

图5整体市场实力比较
上图显示了不同价格区间下市场的整体实力。因此,目前买方的大额订单总金额略大于卖方,但这样的结论作为一个指标值,只适合在震荡市场中选择。
2、 贝叶斯统计在比特币支持度和抵抗度确定中的应用
在交易中,人们通常根据经验判断价格是支撑还是阻力。当你在限价令簿上看到每个价格的订货量时,自然会立刻比较哪个价格比其他价格高,而且数值有明显差异,属于支撑还是阻力级别。
大脑对此的判断是迅速而准确的,但要问判断的依据,答案通常是“感觉如此”,然后得出正确的结论。如果对此进行分析,我们可以指出,做出这样的判断至少经历了以下四个步骤:(1)人脑对以前的支持/抵抗等级命令有印象,可以以此为经验来考虑新的命令是否达到了相应的等级;(2) 人脑对近期市场表现有印象,知道市场成交是淡是热,头脑中支撑/阻力水平的合理订货量也相应调整;(3)看到限价指令书的那一刻,我们可以立即锁定多个大额订单作为支撑/阻力水平的替代;(4)快速判断多个大额订单在数量水平上的差异,从而确定支撑/阻力水平。
在定量交易中,我们不可能手工逐个标注支撑位/阻力位,只能交给程序进行相关判断。平均法或移动平均法似乎可以简单地解决标号问题,但其适应性和“智能性”还很欠缺。因此,我们使用贝叶斯统计来确定支持水平和阻力水平。
在正式介绍之前,我们首先用一个不太严格的例子介绍贝叶斯统计
原始人总是住在地下洞穴里。一天,他意外地倒在地上。他不确定太阳是否每天都会升起,所以他首先根据自己的经验做出假设,然后进行观察。如果他假设太阳每天都会升起,每天的观测数据也证实了太阳升起的事件,那么他就可以得出太阳每天都会升起的结论;相反,如果他假设太阳不会升起,并且每天的观测数据与他的假设不同,那么根据实验数据,他会得到同样正确的结论,以便更确定,人们可以观察更长的时间。
事实上,这就是贝叶斯统计所包含的思想——无论假设(先验概率)是什么,都要通过观测数据对假设进行修正,最终得到符合观测事实的结论(后验概率)。这也类似于人类在科学探索中提出假设、进行实验观察、得出最终结论的方式。由此可见,在这个意义上,贝叶斯统计与人类的思维方式和探索方式是一致的。
1贝叶斯统计方法[1]
统计学主要有两大流派,频率学派和贝叶斯学派。它们既有相似之处,也有不同之处。
基于总体信息和样本信息的统计推断称为经典统计。其基本观点是将数据(样本)看作具有一定概率分布的总体,研究对象是总体,而不局限于数据本身。20世纪下半叶,古典统计学被广泛应用于工业、农业、医学、经济、管理、军事等领域。在这些领域,新的统计问题不断被提出,推动了经典统计学的发展。随着经典统计学的不断发展和广泛应用,其自身的缺陷也暴露出来。
在统计推断中,除了上述人口信息和样本信息外,还有第三种信息——先验信息,即抽样前有关统计问题的一些信息,这些信息主要来源于经验和历史数据,也可以用于统计推断。
基于总体信息、样本信息和先验信息的统计推断称为贝叶斯统计。它与经典统计学的主要区别在于是否使用先验信息。样本信息的使用也存在差异。贝叶斯学派重视已经出现的样本的观测值,而不考虑尚未发生的样本的观测值;贝叶斯学派重视先验信息的收集、挖矿和处理,使其定量化,形成先验分布,参与统计推断,提高统计推断质量。忽视先前信息的使用有时是一种浪费,有时会导致不合理的结论。
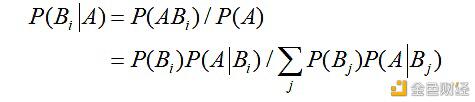
2贝叶斯公式[2]
在全概率公式的假设下,有

这个公式被称为贝叶斯公式,它是概率论中一个**的公式。这个公式最早出现在英国学者T.Bayes(1702-1761)去世后的1763年的一部著作中。

3优先分配的确定
贝叶斯统计应使用先验信息,先验信息主要指经验和历史数据。因此,如何利用人们的经验和过去的历史数据来确定概率和先验分布是贝叶斯学派研究的问题之一。
在经典统计学中,概率由三个公理定义:非负性、正则性和可加性。确定概率的方法主要有两种。一种是经典方法(包括几何方法),另一种是频率法。由于频率法在实际中应用广泛,因此经典统计学的研究对象是重复性大的随机现象。如果不是这种随机现象,就不能用频度法来确定相关事件的频度。这无疑缩小了统计学的应用和研究领域。比如,很多经济现象都是随机现象,不能重复,也不能大量重复。在这种随机现象中,用频率法确定相关事件的概率往往是不可能或困难的。
贝叶斯学派完全赞同概率的公理化定义,但认为概率也可以由经验决定,这与人们的实践活动是一致的。这使得不能重复或大量重复的随机现象成为概率现象成为可能。同时,人们积累的丰富经验也可以总结应用。贝叶斯学派认为,事件发生的概率是人们根据经验给予事件发生可能性的个人信念。以这种方式给出的概率称为主观概率。为了确定先验分布,可以使用先验信息或边缘密度。许多统计学家研究了在没有先验信息的情况下确定先验分布的问题。到目前为止,他们已经提出了多种无信息先验分布,如贝叶斯假设。
4似然函数[2]



5后验分布的计算
(1) 贝叶斯公式的密度函数形式


(2) Bayes公式的离散形式

给出了贝叶斯公式的密度函数形式和离散形式,即后验分布的计算公式。更普遍的后验分布公式,其中进一步包括不可观测的状态变量和多个参数,将不再在这里重复。
6贝叶斯统计在比特币支持度和抵抗度确定中的应用

(1) 替代大批量注册的数据保存
我们将大量登记表的初始筛选保存在数据库中,取一定的时间区间,并对这些登记表数据的新时间区间进行统计分析。过滤条件和时间区间的大小根据具体模确定,这里没有特别说明。
(2) 优先分配
我们有三个先验分布。
第一种是均匀分布,其随机变量用μ表示。均匀分布的上界和下界分别是上述保留的大批量登记表的**值和最小值,因此取任意一个值的概率是相同的。这样,在这个区间内的任何一个值都有相同的选择机会,从而削弱了模中主观因素的影响。
第二种是半正态分布,其随机变量用sigma表示,其标准差由特定的模确定,可根据实际情况进行调整。使用半正态分布的原因是这些大的注册订单都是正数。
三是指数分布,均值很小,随机变量用nu表示。这也是一个微弱的先验。
(3) 似然函数
用t分布代替正态分布来描述似然函数。t分布的三个参数:均值、标度(类似于标准差)和自由度分别为mu、sigma和nu。T分布常被用来估计正态分布的均值,它的峰度比标准正态分布低,尾部比标准正态分布厚。T分布不像高斯分布那样聚集在均值附近。它希望看到远离数据中心的两个方向的数据,因此可以使用它来解决异常值。在该模中,t分布比正态分布更具鲁棒性。
但是,由于空间的限制,我们将不详细介绍边缘分布。
(4) 统计分析
以2021.2.4 19:40为例,我们并行运行了四次模,得到了同一参数的四条并行轨迹。

图6收敛效果
从上图可以看出,后验分布中的参数mu、sigma和nu已经收敛。同时,利用Gelman-Rubin检验来判断收敛性。测试的目的是比较不同记录道之间的差异和记录道内部的差异。如果该值小于1.1,则可以认为相应的参数已经收敛。经计算,本次测试的mu、sigma和nu值分别为1.02、1.02和1.01,应视为收敛。
我们得到后验分布参数的贝叶斯估计如下:

图7后验分布参数的贝叶斯估计
我们更关心穆。观察第二条线,HDI是一种概率,它是由后验分布观测的新数据形成的。97%的HDI给出了97%的最可靠值。我们以符合条件的支持级别/阻力级别应满足的注册订单数量限制,其值为4018000美元。
在此条件下,可以得到合格的支护水平和抗力水平

图8支撑和阻力水平
如上图所示,目前没有合格支撑位,有三个阻力位,价格分别为380003850038730美元。偏离合理价格太大的阻力水平不包括在分析中。
根据经验,随着市场的变化,近期支撑/阻力的下限在200万美元到800万美元之间。因为现货不能像期货那样使用高杠杆,这个区间的订单量一直比较大。
3、 结论与讨论
本文采用贝叶斯统计方法来确定支撑水平和阻力水平。更简单的平均法和移动平均法也可以用来处理这个问题,但是它们的适应性和“智能性”与本文所用的方法相比会有一些缺点;也有更复杂的方法来讨论这个问题,与它们相比,本文的模简单,易于理解,计算方便,具有一定的优势。
在这种情况下,我们可以尝试用这种方法作为量化指标来运行交易过程。需要注意的是,支撑水平和阻力水平的确定在波动市场的交易中通常是有效的。在实际交易中,应结合其他指标来控制风险。
文章链接:https://www.btchangqing.cn/190682.html
更新时间:2021年02月06日
本站大部分内容均收集于网络,若内容若侵犯到您的权益,请联系我们,我们将第一时间处理。