作者|区块链金融分析师.matlif
Nest协议于2021年1月20日成功升级至3.5版本。升级后,nest-预言机系统增加了两个输出数据:移动平均价格和波动率。对于下游合约呼叫者,每次呼叫都会获得实时价格、移动平均价格和波动率三个数据,但呼叫者的呼叫成本不会增加且保持不变。
图1和图2是NestV3.5最近提供的实时价格、移动平均价格和波动率的趋势图。nest v3.5系统中波动率和平均价格指数的增加是nestcore开发团队在社区支持下做出的重要调整,以满足下游profi对预言机的真实性需求。让我们分析一下在nestv3.5中引入平均价格和波动率预言机的意义。
首先,让我们了解一下平均价格和波动率的概念,以及如何计算nestv3.5的平均价格和波动率。
图1:nest v3.5提供的实时价格和移动平均价格(ETH USDT)
比特币数据源:以太扫描块浏览器
图2:nest v3.5提供的波动率(ETH USDT)
A660202数据源:以太扫描块浏览器
1、 基本概念
1.1波动性
波动率是一个统计概念,主要用来衡量标的资产价格的波动性。它是衡量资产回报率不确定性的一种方法。用于反映资产的风险水平。波动率越高,资产价格波动越剧烈,资产收益率的不确定性越强。波动率越低,金融资产价格波动越平稳,资产收益率越高,确定性越大。在不同的标准下,波动性可以有不同的分类。根据波动率计算方法和应用的不同,波动率可分为隐含波动率、历史波动率、已实现波动率(高频波动率/日内波动率)、实际波动率和预期波动率。
1.2移动平均价格
移动平均价格是指移动平均价格的计算方法,对原始价格的时间序列数据进行修正,以消除季节性变化和个别不规则变化对整体数据的影响,从而反映长期趋势。移动平均价格的本质是一种低通滤波器。其目的是滤除时间序列中的高频干扰,保留有用的低频趋势。移动平均价格是最古老和***的时间序列分析工具之一。常用的移动平均包括简单移动平均、加权移动平均和指数平滑平均。
2、 计算和测量
2.1波动率的计算和测量
由于价格是一个随机过程,实际波动率总是一个未知数,或者实际波动率无法事先准确计算,人们只能通过各种方法得到其估计值,这与统计学中的总体参数概念类似。总体参数一般未知,需要通过样本统计进行估计。同时价格的标准差是最简单的,样本和时间段的选择对波动性有很大的影响。
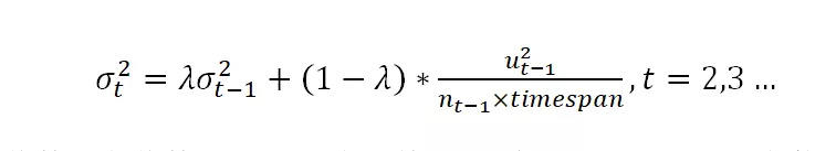
考虑到链中的计算成本,我们采用指数平滑(或加权)移动平均模来计算嵌套有效报价的波动率。长时间变量的影响较小,短时间变量的影响较大。指数平滑法需要保留**一个(t-1)波动率值和最近两个连续的价格数据来计算波动率,且操作相对简单,是减少存储空间和耗气量的好方法。nest v3.5提供的波动率指数具体计算方法如下。
假设套预言机的整体价格服从几何布朗运动模,或者资产价格的对数收益服从几何布朗运动模。设置:1

然后利用指数平滑移动平均模计算当前(T)波动率,公式为:

其中:

由于套料的有效报价有分块区间,上述公式可作如下调整:


基于此权重计算,最近50个波动率占权重的90%以上,且各值的影响随时间呈指数递减。时间越近,当前时间的数据影响越大。σ是我们产出波动性的指数。
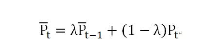
2.2移动平均价格的计算和计量
常用的移动平均包括简单移动平均、加权移动平均和指数平滑移动平均。它们之间的主要区别在于计算平均值的公式不同。简单移动平均是充分利用时间序列在一定时期内的过去数据。加权移动平均法赋予近期价格更多的权重,而赋予远期价格更少的权重。指数平滑法兼容了简单移动平均法和移动平均法的优点。它不放弃以往的数据,只给出价格逐渐走弱的影响程度,即随着数据的距离,被赋予的权重逐渐收敛到零。
布朗提出了指数平滑法的平均价格。布朗认为时间序列的趋势是稳定的或有规律的,因此时间序列可以合理地推迟;他认为最近过去的趋势在某种程度上会延续到最近的未来,因此他在最近的价格中放置了更大的权重。同时,与指数平滑法计算波动率一样,指数平滑法只需保留**(t-1)个平均价格和新的价格数据,操作简单,减少了存储空间和气体成本的消耗。因此,nestv3.5使用指数平滑法来计算平均价格指数。具体计算方法如下:


3、 应用及意义
3.1波动性的应用及意义
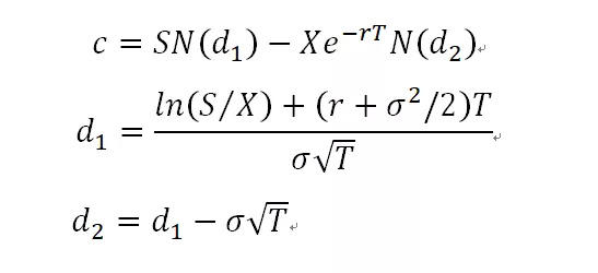
1) 波动率是衍生品定价的重要参数之一。对于衍生金融工具,无论是期权还是更为复杂的金融衍生品,标的物(或标的资产)的价格波动性是影响衍生品价格的重要因素,如最**的布莱克-斯科尔斯期权定价模(图3),它代表了标的物的波动性,而波动性是影响期权价格的主要因素,也是最重要的因素之一(图4),因此对于下游DeFi的期权(如deribit、hegic、opyn、primitive等),波动性是刚性需求的数据。
图3:Black-Scholes期权定价公式

图4:期权价格的影响因素

2) 波动率也是风险管理技术的关键参数之一。波动率是预期收益率的标准差,反映了资产的风险水平,是衡量风险的指标。众所周知,所有去中心化的金融活动(贷款、资产交易、资产管理等)都以风险管理和处理为中心。所有的DeFi项目都应该有风险控制。波动性是预测市场波动或规避风险不可缺少的指标。
例如,对于下游DeFi贷款项目(AAVE,compound),由于抵押资产的剧烈波动性,抵押利率或清算额度的制定和选择极为重要,它决定了项目的风险程度和用户资产的利用率。在制定和选择**抵押贷款利率或清算额度时,首先要考虑的指标是资产的波动性。例如,抵押资产是最重要的资产,如果USDT的价格波动很小,抵押利率和清算额度应该较低。如果抵押资产是嵌套的,波动性大,抵押利率和清算额度应该更高。同样,对于数字资产支持的稳定币项目(如makerdao),nest community planning平行资产项目重要参数(抵押利率、清算额度、稳定费用等)的制定和选择也离不开波动性指标,如钱为稳定币项目,启动充足率的计算公式仅取决于计算出的实时波动率。基于波动性,建立了自动调整机制,在用户资产利用率和清算风险之间寻求**平衡。据了解,未来巢穴生态平行资产项目的按揭利率和收盘线也在很大程度上取决于按揭资产的波动性。
3) 基于波动性,我们可以直接设计DeFi的金融产品,如波动性期货、波动性互换等,波动**易是指基于对波动性的分析和预测,削弱价格变动对策略的影响的交易,而主要依靠波动本身或波动背后的波动形式来获取利润。它具有独特的吸引力和巨大的市场需求,但在现有的基于波动性的DEII市场金融产品协议中没有基础。
3.2移动平均价格的应用及意义
1) 对于一些实时需求价格不高的项目来说,他们更喜欢平均价格而不是实时价格,因为实时价格时间序列值受周期性和不规则变化的影响,波动较大,不易呈现出发展趋势。平均价格可以消除这些因素的影响,有时平均价格可以更准确地反映市场的供求关系。例如,用平均价格结算抵押资产可能更合理、更公平。例如,最近流行的**协议,其指数价格由预言机提供的时间加权平均价格(twap)提供。
2) 对于nest-预言机来说,与实时价格预言机相比,移动平均价格预言机对预言机操纵攻击的抵抗力更强,因此平均价格可以用于价格抗攻击要求更高的DeFi项目。
3) 事实上,预言机第二大价格系统Uniswap提供的是时间加权平均价格(twap),而不是实时价格数据。
4) 平均价格也可以用来排除异常价格数据。根据雀巢预言机提供的价格数据,价格偏差高于或低于2.5%的概率只有0.19%。因此,我们可以使用以下公式:

限制正常价格的取值范围,排除异常价格数据。
3.3总结
nest协议升级到3.5版本后,引入移动平均价格和波动率预言机,供链上开发者使用。这是nest开发者为满足预言机下游DeFi的真实性需求,经过深入思考和研究,对nest协议进行的一次重要的升级迭代。从本质上讲,这也是鸟巢直面需求的必然选择。
文章标题:Nest Oracle增加了平均价格和波动率数据,以应对实际需求
文章链接:https://www.btchangqing.cn/191242.html
更新时间:2021年02月06日
本站大部分内容均收集于网络,若内容若侵犯到您的权益,请联系我们,我们将第一时间处理。