撰文:邹传伟,万向区块链首席经济学家
夫水之积也不厚,则其负大舟也无力……风之积也不厚,则其负大翼也无力。
——《庄子·逍遥游》
除了比特币以外,主流公链对应的经济体都有存在双层结构。底层经济体与公链的原生 Token 有关,对应着共识算法、「挖矿」、Staking、支付和分布式账本更新等活动。上层经济体对应着 DeFi、NFT、STO 和稳定币等活动,与类似 ERC20 地位的非原生 Token 有关。在 PlatON 中,上层经济体还包括数据要素和算力市场。
底层经济体规模的最重要指标是原生 Token 的市值,而上层经济体规模的最重要指标是全部非原生 Token 的市值。随着公链经济体的发展,双层经济体的规模之间的关系已成为一个重要问题:1. 底层经济体规模是否构成上层经济体规模的上限?2. 底层经济体与上层经济体之间,究竟谁拉动谁?我把这个问题概括为公链经济体的双层耦合问题。此问题最早由《PlatON 经济蓝皮书》提出 。
接下来,我从两个角度讨论公链经济体的双层耦合问题,首先是从公链安全性的角度,其次是从双层经济体相互影响的角度。
从公链安全性看公链经济体的双层耦合
这个角度通过在经济学上研究攻击公链的可行性,讨论公链的经济边界。相关分析对 PoW 和 PoS 公链均成立。
「双花」攻击
将多个一致行动的攻击者视为一个整体考虑。假设攻击者对公链共识过程的影响力为 x 。在 PoW 公链中,x 表示攻击者占有全网算力的比例,xgt;1/2 是攻击在算法上可行的条件。在 PoS 公链中,x 表示攻击者控制全部原生 Token 的比例,xgt;2/3 是攻击在算法上可行的条件。但除了算法可行性以外,攻击者还需综合衡量攻击的成本和收益,也就是攻击在经济学上的可行性。
假设攻击者按以下步骤发起「双花」攻击:
- 攻击者用原生 Token 或非原生 Token 向交易对手购买商品或资产,价值为 v (以原生 Token 为计价单位)。
- 这笔交易被广播到分布式网络中,通过共识过程记入公链分布式账本中。
- 交易对手等待 e 个区块后,将商品或资产发给攻击者。
- 攻击者基于对公链共识过程的影响力,开始构建替代性公链,以抹去自己在第 1 步的交易。
- 假设在 t 个区块后(每个区块的出块奖励均为 r 个原生 Token),替代性公链在长度上超过由诚实节点维护的公链,成为被全网接受的主链。换言之,攻击者在落后 e 个区块的情况下,平均要在 t 个区块后才能追赶上诚实矿工。
- 假设攻击通过在加密资产市场上的操作(比如做空原生 Token),还能获得破坏公链系统的收益 s (以法币为计价单位)。
假设攻击前,公链原生 Token 的市场价格为 p (以法币为计价单位);攻击后,原生 Token 市场价格的下跌幅度为△ 。△ 与公链社区的抗压性和加密资产市场的结构有关。
攻击者的收益
攻击者的收益为

其中 v 表示「双花」金额,与上层经济体规模有关,也与原生 Token 交易活跃度有关,本文重点关注前者;t·r 表示 t 个区块的出块奖励; s 表示攻击公链系统的收益,与加密资产市场的发展程度有关。
攻击者的成本计算要复杂得多,而这主要与公链是 PoW 还是 PoS 有关。
PoW 公链在经济学上的抗攻击性
以太坊的上层经济体发展**,而以太坊目前仍属于 PoW ,所以讨论 PoW 公链非常有必要。对 PoW 公链,攻击者需要考虑两方面成本:
- 攻击所需的算力成本。假设诚实矿工可以自由进入和退出,诚实矿工挖矿的期望利润为 0,因此诚实矿工付出的算力成本等于出块奖励 t·r·p,而攻击者付出的算力成本是诚实矿工的 x/(1-x) 倍(因为与他们的算力成正比),等于 x·t·r·p(1-x)。
- 攻击对矿机价值的影响。用 m 表示攻击使全体矿机的价值下跌的金额。这取决于矿机除了挖矿以外,还有没有别的用途:矿机的专用程度越高,m 越大;反之,矿机的通用性越好,m 越小。
因此,在 PoW 公链中,攻击者的成本等于

另外,攻击者在落后 e 个区块的情况下,平均要在 t 个区块后才能追赶上诚实矿工,因此 t 是 x 和 e 的函数(表 1)。在其他条件一样的情况下,x 越大,t 越小;e 越大, t 也越大。比特币白皮书**的技术部分讨论的就是这个问题。
表 1:t 与 x 和 e 的关系
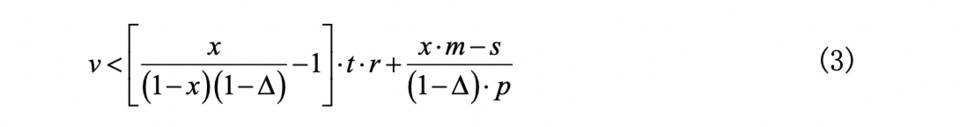
如果攻击者的成本 CPoW 超过收益 G,即使攻击 PoW 公链在技术上可行,在经济学上仍是不可行的。这个条件是:

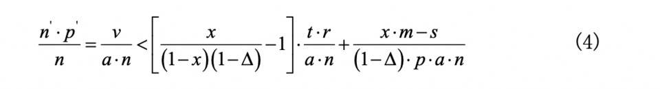
根据模假设,在讨论公链双层经济体之间的关系时,v 表示单个区块中非原生 Token 交易的价值(以原生 Token 为计价单位)。假设在攻击发生的时间段内,原生 Token 的数量为 n,非原生 Token 的数量为 n’,平均每个区块中有 a 比例的非原生 Token 参与交易,并且非原生 Token 用原生 Token 计价的平均价格为 p’ ,因此 v=n’·a·p’,从而上层经济体规模与底层经济体规模之比等于

(4) 是针对 PoW 公链的双重耦合问题的两个核心结论:给定底层经济体规模,上层经济体规模存在上限;在适当的参数取值下,上层经济体规模可以超过底层经济体。这两个结论在以太坊市值与全体 ERC20 Token 市值的走势中可以得到印证。
要发展上层经济体规模,底层经济体规模必须先上去,否则公链容易成为攻击目标。这就是本文开头引用的《庄子·逍遥游》那句话在公链经济体中的含义:底层经济体与上层经济体之间的关系,是「水」与「大舟」之间的关系,「风」与「大翼」之间的关系。
给定底层经济体规模,(4) 能揭示出以下结论,这些结论对发展 DeFi、NFT 和稳定币等上层经济体有重要意义:
- 出块奖励 r 越高(r/n 也代表了公链原生 Token 的通胀率或增发率),上层经济体规模上限越高。换言之,如果 PoW 公链的出块奖励下降,那么在其他条件不变的情况下,上层经济体发展会受到较大限制。
- a 越小(比如 Staking 比例越高),上层经济体规模上限越高。
- 矿机的专用程度越高,m 越大,上层经济体规模上限越高。
- 攻击公链系统的收益 s 越低 ,上层经济体规模上限越高。换言之,限制加密资产市场做空,能为上层经济体发展创造更大空间。
- e 越大, t 也越大,上层经济体规模上限越高。这体现了「等待的价值」。
PoS 公链在经济学上的抗攻击性
对 PoS 公链,攻击者不用承担算力、矿机等物理成本,主要成本来自两方面:
- 攻击者为参与共识过程,需要控制比例为 的原生 Token,这些原生 Token 在公链被攻击后,会遭受价格下跌。
- 系统给与攻击者的惩罚(即 Slashing),假设 Slashing 比率为 。
因此,在 PoS 公链中,攻击者的成本等于 m’。

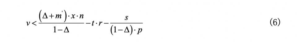
与 PoW 公链的情形类似,如果攻击者的成本 CPoS 超过收益 G ,即使攻击 PoS 公链在技术上可行,在经济学上仍是不可行的。这个条件是:

与 (4) 类似,上层经济体规模与底层经济体规模之比的上限是:

针对 PoS 公链的双重耦合问题的核心结论与 PoW 公链是类似的:给定底层经济体规模,上层经济体规模存在上限;在适当的参数取值下,上层经济体规模可以超过底层经济体。此外,给定底层经济体规模,Slashing 比率 越大,或攻击公链系统的收益 越低,上层经济体规模上限越高。
公链双层经济体的相互影响 底层经济体对上层经济体的影响
底层经济体对上层经济体有两个方向相反的影响。
第一,「水涨船高」。底层经济体发展一般伴随着原生 Token 的升值,而原生 Token 构成上层经济体中非原生 Token 的定价基准,这会推高非原生 Token 的价格和上层经济体规模。另外,底层经济体发展起来后,随着用户、网络和场景等的增加,用户管理自己资产和风险的需求会增加,也会促进上层经济体的发展。当然,如果公链的基础设施不完善,底层经济体发展不一定促成上层经济体的同步发展。比如,比特币因为不支持智能合约,就发展不出上层经济体。
第二,「内卷化」。原生 Token 随着底层经济体发展而升值后,会使得处理同样的智能合约需要更高 Gas 费,这会抑制上层经济体的发展。另外,底层经济体和上层经济体都要占用有限的 TPS,前者占得多了,意味着后者占得少。
从以太坊的发展看,「水涨船高」的影响超过了「内卷化」,以太坊市值与全体 ERC20 Token 市值基本同步涨跌,但「内卷化」对以太坊上 DeFi 活动的抑制已不容忽视。
上层经济体对底层经济体的影响
在此前的研究中,上层经济体对底层经济体的拉动,也被称为底层经济体从上层经济体捕获价值。一般结论是,存在价值捕获效应,但效应有多高取决于具体的机制设计。这方面可以使用货币数量恒等式和购买力平价的分析框架。
假设在公链双层经济体中,原生 Token 的数量用 n 表示(与前文一样),原生 Token 的流通速度为 V (一年中流通次数),经济总量为 Y (底层经济体+上层经济体),价格指数(一篮子商品和服务用原生 Token 标记的价格)为 P ,那么根据货币数量恒等式,

假设在法币支撑起来的经济体中,法币的发行量为 n* ,法币的流通速度为 V*(一年中流通速度),经济总量为 Y* ,价格指数(一篮子商品和服务用法币标记的价格)为 P* ,同样有

与前文一样,用 p 表示原生 Token 用法币标记的价格。一方面,一篮子商品和服务 = P 个原生 Token= p·P 个法币。另一方面,一篮子商品和服务用法币标记的价格为 P* 。根据购买力平价,

联立 (8)-(10) 可得,

注意到

是一个刻画法币经济体、但与公链无关的量。(11) 说明,在其他条件一样的情况下,公链经济体越活跃(即 Y 越大),或原生 Token 的流通速度越低(即 V )越小,底层经济体的规模 n·p 越大。换言之,上层经济体越活跃,或者越能降低原生 Token 流通速度(比如要求 Staking 或质押原生 Token),底层经济体捕获自上层经济体的价值越高。
结论与思考
本文分析公链经济体的双层耦合问题,得到了如下结论:
第一,不管是 PoW 还是 PoS 公链,给定底层经济体规模,上层经济体规模都存在上限。但在适当的参数取值下,上层经济体规模可以超过底层经济体。这是公链基础设施的经济效率的重要体现。
第二,底层经济体对上层经济体有两个方向相反的影响——「水涨船高」(正向)和「内卷化」(反向)。「水涨船高」的影响超过了「内卷化」,但「内卷化」通过竞争有限 TPS、推高 Gas 费等对上层经济体的抑制不容忽视。
第三,上层经济体越活跃,或者越能降低原生 Token 流通速度(比如要求 Staking 或质押原生 Token),底层经济体自上层经济体捕获的价值越高。
本文新兴公链的策略含义是,在市值不高时,公链承载的经济活动规模不会很高。这是由公链安全性决定的,但也是一个可以在发展中解决的问题。要通过社区建设、生态拓展和用户获取等策略,打造公链与上层经济活动之间的正向循环。
文章标题:邹传伟:深入分析公链经济体的双层耦合问题
文章链接:https://www.btchangqing.cn/224440.html
更新时间:2021年04月02日
本站大部分内容均收集于网络,若内容若侵犯到您的权益,请联系我们,我们将第一时间处理。