原题:比特币的挖矿成本是多少?中科院、清华大学等学者:预计2024年用电量近3000亿千瓦时,碳排放1.3亿吨
随着比特币(BTC)在世界范围内的广泛认可,它所代表的价值得到了飞跃式的提升。如今,1个BTC可以兑换成大约58154美元的“真金白银”。而且,理论上这样有价值的比特币只有2100万,而且数量非常有限,这就吸引了越来越多的个人和团队花费大量资源来“挖矿”这一“数字黄金”。
简单地类推,这个过程就像金矿挖矿。很多比特币的“矿工”或“矿场”一年四季不停地通过“加密货币矿工”进行“挖矿”,并不断获得比特币的财富。

图:大规模作业中的挖矿机械(图片来源:coinda)
然而,在这个财富密码的背后,比特币采煤机的耗电量却惊人。根据剑桥研究人员公布的比特币电力消费指数,如果把比特币作为一个国家,其电力消费足以跻身世界前30位。目前,“矿业”活动的年用电量约为121.36太瓦时(1太瓦时,10亿千瓦时),超出人们的想象。除非比特币的价格大幅下跌,否则耗电量只会增加。
那么,在中国,比特币区块链运行所带来的电力消耗以及当前和未来的碳排放模式是什么?关于这个问题,中国科学院和清华大学地球系统科学系的专家组及其合作者进行了建模和分析,相关论文已于4月6日发表在科学期刊《自然通讯》上。

图中国比特币区块链运营碳排放与可持续性政策评估(图片来源:nature Communications)
研究发现,在没有任何政策干预的情况下,中国比特币区块链的年能耗预计将在2024年达到峰值,约为29659twh,并产生3.05亿吨碳排放,在中国182个城市和42个工业部门中排名前10位。此外,研究人员还讨论了比特币矿业的碳排放控制政策和措施。
财富驱动的疯狂
近年来,基于系统动力学(SD)的模被广泛应用于某一特定领域或行业的碳排放流量估算。在此基础上,研究人员开发了比特币区块链碳排放模(bbce),对中国比特币网络运营在不同情景下的碳排放水平进行评价。
他们建立了比特币区块链碳排放系统的系统边界和反馈回路,作为研究比特币区块链碳排放机制的理论框架。一般来说,bbce模包括三个子系统:比特币区块链的挖矿和交易子系统、能源消耗子系统和碳排放子系统。

图bbce建模流程图(来源:nature Communications)
在“挖矿”过程中,当区块正式向比特币区块链广播时,为了提高挖矿出新区块并获得奖励的概率,矿工们会投入更高的算力(也称哈希率)进行挖矿,这将导致整个比特币网络算力的提高。由于比特币矿井挖矿过程中的能耗是由电网能耗和平均电价决定的,这反过来又会影响比特币矿井的动态行为。
Bbce模收集煤基和水基能源地区a601矿工的碳足迹,为中国a601行业开发整体碳排放评估模。其中,可变GDP水平由比特币矿工的利润率和总成本构成,反映了比特币区块链的累计生产率。本研究还将其作为单位GDP产生碳排放的辅助因素,为政策制定者对a601矿业实施惩罚性碳税提供指导。
比特币区块链的奖励每四年减半,这意味着在比特币区块链中播放新区块的奖励到2140年将为零。因此,由于比特币区块链的减半机制,比特币的市场价格将周期性上涨。**,将碳成本与能源成本相结合,得出a601挖矿过程的总成本对矿工的利润率和投资策略具有负反馈作用。当挖矿利润在bbce模拟中变为负值时,矿工将逐渐停止在中国的挖矿或转移到其他地方。
基于bbce模的基准模拟,2024年中国a601行业的年能耗将达到296.59太瓦时的峰值,高于意大利和沙特***的总能耗水平。如果列入2016年各国碳排放清单,将排名第12位;相应地,2024年比特币企业的碳排放量将达到每年1.3050太瓦时1亿吨。
在全国182个地级市和42个主要工业部门中,比特币矿业的排放量将排在前10位,占全国发电排放量的5.41%。行业人均GDP**碳排放量也将达到10.77千克/美元。
尽管工作证明(POW)共识算法使比特币区块链能够以相对稳定的方式运行,但富有吸引力的财富激励导致了基于比特币专业挖矿机械不同阵营的军备竞赛不断升级。

图比特币区块链工作证明算法的碳足迹(来源:nature Communications)
起初,矿工们甚至可以使用传统的中央处理器(CPU)在通用计算机上进行挖矿;后来,图形处理单元(GPU)也被用于挖矿,它提供了比目前CPU更大的功率,大规模部署针对哈希运算优化的专用集成电路(ASIC),快速的硬件迭代和激烈的挖矿竞争大大增加了比特币挖矿的资本支出。
比特币挖矿活动的扩大和挖矿机械的增加导致了巨大的能源消耗,每年的能源消耗水平相当于丹麦、爱尔兰或孟加拉国等中小国家,这间接导致了巨大的碳排放。据估计,从2016年1月1日到2018年6月30日,高达1300万吨的二氧化碳排放可归因于比特币区块链。
特别是在中国,由于专业的矿机Maker和廉价的电力供应,大部分挖矿过程都在中国进行,中国矿场的算力占比特币网络的75%以上。

图比特币区块链矿池分布图(图片来源:nature Communications)
然而,作为世界上知名的能源消费国之一,中国是巴黎协议的主要签署国。如果没有适当的干预和可行的政策,中国在比特币区块链上的密集挖矿活动可能很快成为干扰中国碳减排努力的压力。
不同政策情景下的发展趋势
根据bbce模的子系统组成,研究者考虑了比特币矿业不同阶段实施的三大a601政策,并制定了比特币区块链碳排放评估的四种场景。

图场景参数设置(图片来源:nature Communications)
在基准情景(BM)中,市场准入假设为*,这表明所有高效、盈利的比特币矿工/矿工都被允许在中国经营。根据a601矿工/矿工的实际区域统计数据,研究人员假设基准情景中40%的矿工位于燃煤发电区。
另外三种情况,为了节能减排,调整了比特币不同挖矿工序的政策。
具体来说,在比特币的采掘交易子系统中,市场准入标准加倍,即在市场准入(MA)情景下,禁止低效率利润矿工进入中国比特币市场,同时迫使决策者以高效的方式维护比特币区块链的网络稳定。
在SR情景下,建议煤矿发电区的比特币名矿工转移到水资源丰富的地区,以利用雨季等因素造成的相对较低的能源可用成本。
在碳税场景(CT)中,碳税增加到初始值的两倍,以对比特币区块链的高碳排放行为实施更严厉的惩罚。
利用上述情景,研究人员评估了比特币区块链的碳排放流量和能源消耗,并在2014年至2030年的bbce模拟中评估了不同政策的碳和能源减排效果。
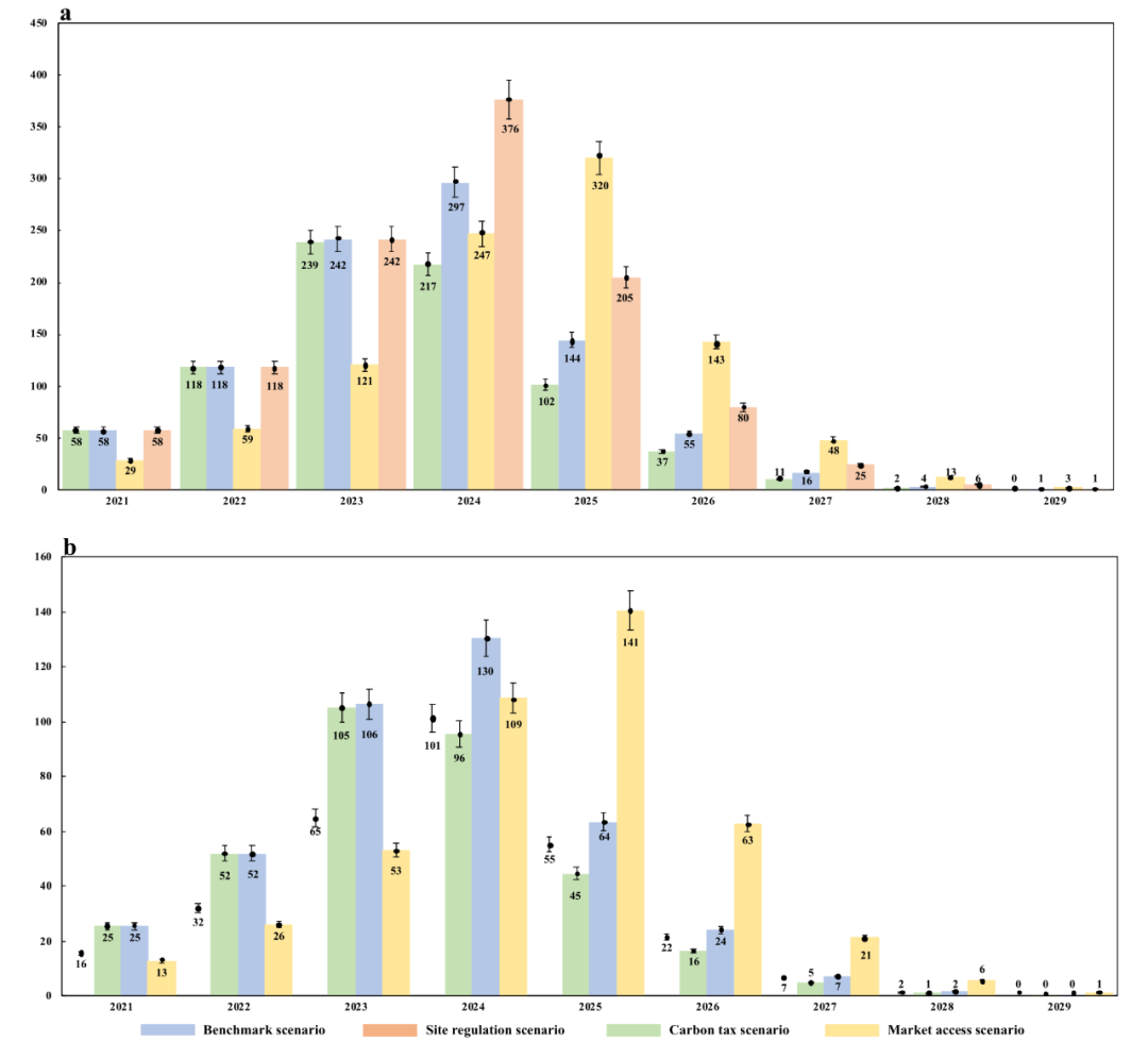
其结果是,如果没有任何政策干预,比特币区块链的碳排放模式将成为中国可持续发展努力的障碍。据估计,中国比特币区块链的年能耗和碳排放峰值将超过意大利、荷兰、西班牙和捷克等一些发达国家。作为最小政策干预下的基线评估,基准情景模拟了比特币区块链网络的自然运行结果。
在BM情景下,在中国,比特币区块链的年能耗将逐渐增加,最终在2024年达到296.59太瓦时/年的峰值,这表明比特币产业的运行将继续遵循高耗能模式。在CT情景下,由于碳排放惩罚,比特币行业的**能源需求略有下降至217.37太瓦时;而Ma和Sr情景下的结果显示,2024年和2025年比特币行业的总能源消耗将分别达到350.11太瓦时和319.80太瓦时。
相比之下,比特币区块链产生的碳排放在SR和CT情景下显著减少,这表明严格的碳相关政策产生了积极影响。相反,Ma情景见证了碳排放量的大幅增加,从2011年的140.71亿吨增加到2025年的140.71亿吨。

图不同情景下的年度模拟结果、年度能耗(a)和碳排放(b)(来源:nature Communications)
基于bbce模的情景结果,基准情景表明,只要比特币的挖矿在中国保持盈利能力,比特币行业运营产生的能源消耗和碳排放将继续增长。这主要是由于工作量证明竞争机制的正反馈回路,要求比特币矿工拥有先进、高能耗的挖矿机械,从而增加获得区块奖的概率。此外,所提出的系统动力学模模拟的碳排放流量和长期趋势与之前的几个估计值一致,这些估计值用于准确估计比特币区块链的碳足迹。
研究人员认为,在我国目前的国民经济和碳排放核算中,比特币区块链的运作并没有被列为碳排放和生产率计算的独立部门。这使得政策制定者更难监控a601行业的实际行为并设计有针对性的政策。事实上,比特币网络每笔交易的能耗都大于很多主流金融交易渠道。
为了解决这个问题,研究人员建议政策制定者为a601行业设立一个单独的监管账户,以便更好地管理和控制中国行业的碳排放行为。

图比特币行业能耗和碳排放对比(来源:nature Communications)
哪些管理措施更有效?
通过情景分析,研究人员认为,在限制比特币区块链运行中的能源消费总量和碳排放方面,导致矿业活动能源消费结构变化的政策可能比直观的惩罚措施更有效。
在整个模拟期间,BM情景下中国比特币行业人均GDP碳排放量均大于其他情景,2026年6月很高为10.77 kg/USD。然而,研究人员发现,Ma和常规CT方案在降低碳排放强度方面的政策效果相当有限,即市场准入的政策效果预计将在2027年8月下降,而碳税的政策效果预计将持续到2024年7月。在所有预期的政策情景中,Sr的效果**,可以将a601产业的人均GDP峰值碳排放降低到6kg/美元。
总体来看,比特币产业的人均GDP碳排放量远高于我国工业平均碳强度,说明比特币区块链的运行是一个高碳密集产业。

图bbce情景评估比较(来源:nature Communications)
在BM情景下,预计2024年4月比特币矿工的利润率将降至零,这意味着比特币矿工将逐步停止在中国的挖矿,并将业务转移到其他地方。然而,应该指出的是,整个搬迁过程并不是立即发生的。沉没成本较高的矿工通常比沉没成本较低的矿工经营时间更长,希望再次盈利。因此,到2030年底,与比特币挖矿相关的整体能源消耗将保持正增长,届时几乎所有矿工都将迁往别处。
因此,在BM场景中,网络哈希速率为1775eh/s,矿工的总成本高达12.68亿美元。与其他三项政策的情景结果相比,预计在CT情景下,中国矿业比特币的盈利能力将更快恶化。另一方面,比特币区块链可以在Ma和Sr场景中长期保持盈利能力。
基于bbce模拟结果,我们可以得出一些有吸引力的结论:虽然Ma方案提高了a601矿工的市场准入标准和效率,但实际上改善了模拟结果的排放量,而不是减少排放量。在并购情景下,研究者观察到了以往研究中提出的激励效应现象,这种现象反映在产业政策的其他领域,如货币政策、交通管制和企业投资策略等。
从本质上讲,市场准入政策的目的是限制中国效率低下的a601矿工的挖矿作业。然而,幸存的矿工们致力于压缩更多的网络散列率,这使得他们能够在更长的时间内保持盈利。此外,在Ma情景下,中国比特币行业产生更多的二氧化碳排放,这主要归功于工作证明(POW)算法和比特币矿工的逐利行为。Ma情景的结果表明,市场准入政策可能无法有效应对比特币区块链运营的高碳排放行为。
碳税政策是公认的最有效、最普遍的碳减排政策。然而,模拟结果表明,碳税对a601产业的有效性是有限的。在a601矿业公司意识到其挖矿利润受到a601矿业公司惩罚性碳税的影响之前,CT情景的碳排放模与BM情景的碳排放模是一致的。
相反,SR情景下的模拟数据显示,它可以为比特币区块链运营的碳排放提供负反馈。与BM情景相比,SR情景下a601产业单位GDP**碳排放量减少了一半。
值得注意的是,虽然SR情景下比特币矿业的年峰值能耗高于BM情景下,但SR情景下a601矿业的高比例矿工迁往水力资源丰富的地区。因此,与BM方案相比,这自然降低了相关的碳排放成本。

图比特币挖矿概念图(来源:中图)
区块链技术
总体来看,在限制比特币挖矿准入、改变矿工能源消费结构、实施碳排放税等不同政策的干预下,比特币区块链的碳排放强度仍远高于中国行业的平均排放强度。
这一结果表明,作为区块链技术的典案例,比特币可能在不久的将来成为一个能源和碳密集产业。
然而,比特币背后的区块链技术,以其去中心化的特点和基于共识算法的信任机制模式,仍然提供了一种新的解决方案,对各种产业发展和远程交易都是有益和创新的。近年来,区块链技术被大量传统产业引入和采用,寻求优化其运营流程,如供应链金融、智能合约、国际商贸、制造业运营等。
值得注意的是,中国人民银行规划设计了一种基于区块链技术的央行数字货币(CBDC),即数字货币电子支付(DCEP),未来有望逐步取代我国目前基于纸币的流通中现金(M0)供应。随着区块链技术的广泛应用,新的协议需要以环境友好的方式进行设计和调度。这一变化是确保网络可持续性的必要条件。毕竟,没有人希望看到一项具有破坏性和前景的技术成为阻碍全球减少碳排放努力的碳密集技术。上述权衡值得进一步探索和研究。
与传统产业不同的是,比特币区块链运营等新兴产业的碳排放量低于当前GDP,如果没有适当的审计和监管,利用投入产出分析等传统工具来评价这些新兴产业的碳排放量是相当具有挑战性的。研究结果也表明,系统动力学模是研究新兴产业碳流动机制的一种很有前途的方法。
文章标题:比特币开采的价格是多少?中科院、清华大学等学者:预计2024年用电量将接近3000亿千瓦时
文章链接:https://www.btchangqing.cn/227329.html
更新时间:2021年04月07日
本站大部分内容均收集于网络,若内容若侵犯到您的权益,请联系我们,我们将第一时间处理。