本文由欧易OKEx研究院原创,授权金色财经**。
目录
(一)期现套利(永续-杠杆套利)策略
1. 核心思想:
2. 统一账户下的高收益策略
(1)经典账户模式下的交易
(2)统一账户单币种保证金模式下的交易
(二)跨保证金合约套利策略
1. 核心思想
2. 统一账户下的高收益策略
(1)经典账户模式下的交易
(2)统一账户模式下的交易
(三)借币套利策略
1. 核心思想
2. 统一账户下的高收益策略
(四)策略总结
目前欧易OKEx统一账户功能已经正式上线。统一账户功能的强大之处,不仅仅是将币币、杠杆、合约等各交易账户统一在一个账户下,而是在资金效率、提高收益、降低风险等方面都有了质的飞跃。今天就为大家介绍几种统一账户带来的新财富机遇。
(一)期现套利(永续-杠杆套利)策略
核心思想
在加密衍生品市场中,由于永续合约资金费率和固定利率的差异,使得永续合约与现货杠杆交易之间存在一个套利空间—我们可以分别在币币杠杆交易和永续合约交易中建立一个仓位价值相同,头寸方向相反的头寸,实现浮动利率与固定利率间的套利,具体策略如下所示:
表1. 永续-杠杆套利策略

统一账户下的高收益策略
对于永续-杠杆套利策略而言,目前已经十分成熟,在过去的分账户体系中也可以使用该策略,然而限制在于:在分账户模式下,杠杆交易账户和永续合约账户是分开的,两个账户不能共享保证金;同样地,分账户模式无法实现盈亏相抵,用户不得不降低杠杆倍数以防止爆仓,使得分账户模式的整体资金利用效率低下,收益不高。
以实际情况为例,在4月13日,OKEx平台上的币本位保证金永续合约资金费率和如下所示:
表2. OKEx平台部分USDT保证金永续合约资金费率

表 3. 普通用户借币基础日利率

我们以等级为LV1的用户为例,此时ETHUSDT永续合约在下一结算时刻的资金费率为0.282%,而ETH的借币利率为0.05%,LV1等级用户的交易手续费率(Taker)为0.05%,此时存在的套利空间为0.282%-0.05%-0.05%*2 =0.132%。当然,对于等级更高的专业用户,其借币利率和交易费率更低,意味着套利空间更大。
假设该用户手中有0.2 ETH ,此时ETHUSD永续合约标记价格为2218.57 USD,ETH/USDT杠杆交易标记价格为2213.82 USDT。
(1)经典账户模式下的交易
在经典账户(分账户)模式下,为了更高地利用资金效率,**策略是各将0.1 ETH放置在杠杆交易账户和永续合约账户中,同时为了防止爆仓,每个账户中仓位的杠杆倍数很高设置为3倍(即保证在大约33.3%的涨跌幅下不会发生爆仓),具体如下:
a)在ETH/USDT币对下,用0.1 ETH以3倍杠杆开多ETH,仓位价值共计0.3 ETH;
b)在币本位永续合约中用0.1 ETH以3倍杠杆做空0.3 ETH,仓位价值共计0.3 ETH
表4. 经典账户模式下的永续-杠杆套利策略

(2)统一账户单币种保证金模式下的交易
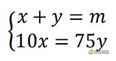
在统一账户单币种保证金模式下,由于交割合约与杠杆交易可以共享保证金,并实现盈亏相抵,因此我们可以开设更高的杠杆。在ETH/USDT杠杆交易中,**杠杆倍数为10X;在币本位永续合约中,**杠杆倍数为75X。为了尽可能高地利用资金效率,我们可以通过解如下方程组来获取各仓位的初始保证金:

其中,x为杠杆交易的初始保证金,y为永续合约的初始保证金,m为账户中该币种资产的数量。在本案例中m为0.2,因此可解得x为0.023ETH,y为0.177。考虑到手续费、滑点等因素,我们在本案例中酌情处理,将x取值0.02ETH,y取值0.15 ETH。因此,我们可进行以下操作:
a)用0.15 ETH 以10倍杠杆做多 ETH,仓位价值共计1.5 ETH;
b)在ETHUSD永续合约中用0.02 ETH以75倍杠杆做空1.5 ETH
表5. 统一账户模式下的永续-杠杆套利策略

那么在统一账户单币种保证金模式下,该套利策略的爆仓风险有多高呢?我们可以用公式进行实际测算:

即

其中,m代表该币种全仓内余额,n代表仓位价值,P1,0代表杠杆交易开仓价格,P2,0代表永续合约开仓价格,P1,t代表杠杆交易标记价格,P2,t代表合约交易标记价格,r代表维持保证金率。这里,我们设

这里的S可代表杠杆交易价格和永续合约价格的变化情况,那么此时

若S1=S2=S,即杠杆交易和永续合约标记价格的涨跌幅相等,那么

这里,我们用平均杠杆倍数(G)乘以平均初始保证金(f)替换仓位价值n,用用代表币价的变化率α替换S,那么

公式中H是一个固定值,我们可以将上式用三维曲面图画出,如下所示,该函数类似于一个卷折的纸箔。在统一账户单币种保证金模式下,当klt;=*时账户会强制减仓,从上式可以看出,杠杆和价格涨跌幅是爆仓的决定因素。
因此,用户在使用该策略时,必须先利用插值法获取相应的价格涨跌幅和杠杆设置范围。例如在本节案例中,价格变动幅度在[-33%,33%]内,利用插值法我们可知杠杆设置需在20倍以下,而我们的平均杠杆倍数为15倍(在统一账户单币种保证金模式下,该策略的各头寸仓位已经用了很高杠杆,因此平均杠杆很高在15倍左右),处在安全区间。

回到本套利策略中,我们为了提高资金效率,使得占用保证金尽可能接近账户余额,即m≈f,此时

下面我们将G=15代入上式子,可得:

从上可以看出,只有当资产价格下跌约74.5%时,上述套利策略才会被强制平仓。需要强调的是,这里我们只选用了第一档的仓位和维持保证金率;对于不同的资金规模,对应不同档位的维持保证金率、借币额度等是不同的。
实际套利情况如下图所示,从图中可以看出,尽管我们分别以10X,75X的很高杠杆各开设了1.5 ETH的多空头寸,但在统一账户模式下,并未显著提高我们的风险,其预估强平价在643.47 USD,这意味着上述套利策略只有在ETH价格暴跌74%左右才会面临爆仓。

综合来看,在永续-杠杆套利策略中,统一账户模式比经典账户模式节省了近15%的资金量,收益率达到425.12%,较之前提升了4.8倍,但爆仓风险却减少了约56.42%,甚至无爆仓风险。当然,该优化效果仅仅是针对等级为LV1的普通用户,对于等级更高的专业用户,由于可获得更低手续费和借币利率,统一账户下的优化效果会更佳。

(二)跨保证金合约套利策略
1. 核心思想
前面我们提到可以利用永续合约资金费率与杠杆交易借币利率之间的不同来进行套利,而随着USDT保证金合约的出现,我们也可以利用USDT保证金永续合约与币本位保证金永续合约两者资金费率之间的差异来进行套利,具体套利策略如下所示:

2. 统一账户下的高收益策略
可以说,跨保证金永续合约套利在很大程度上就是为统一账户下的专业投资者准备的。因为两种永续合约的资金费率通常差距不会太大,这意味着只有获得很高手续费折扣的专业用户才更容易套利;此外,由于资金费率之差太小,必须使用高杠杆才能获取可观的收益,毕竟资金也有机会成本。
例如4月14日下午16时的资金费率,大部分永续合约的资金费率并无太大差别,但在ADA永续合约中,币本位永续合约资金费率比USDT永续合约资金费率低0.074%。对于LV 5的普通用户和所有等级的专业用户,其吃单手续费均为0.03%;此时,我们可以做空ADAUSDT永续合约;做多ADAUSD永续合约,理论上的套利空间为0.014%。

现在我们以专业用户视角,手**有100 ADA和 200 USDT,此时ADAUSDT永续合约(USDT保证金)标记价格为1.530 USDT, ADAUSD永续合约(币本位)标记价格为1.521 USD,现货标记价格为1.520 USD。
(1)经典账户模式下的交易
如果我们采用经典账户模式,那么USDT永续合约与币本位永续合约将不能共用保证金,也不能实现盈亏相抵。因此,为了**限度地提高资金效率并降低爆仓风险,仓位的杠杆倍数很高设置为3倍,即操作如下:
a)以100 ADA为保证金,3倍杠杆开多ADAUSD永续合约(币本位),仓位价值为300 ADA,此时占用的初始保证金为 100 ADA;
b)以2,000 USDT为保证金,3倍杠杆开空ADAUSDT永续合约(USDT保证金),仓位价值为459 USD(300 ADA),此时占用的初始保证金为153 USDT。

(2)统一账户模式下的交易
在统一账户的跨币种保证金-自动借币模式下。跨币种保证金-自动借币模式的优势在于以账户中的所有币种资产(统一折算为美元价值)作为共同的保证金,这意味着只要账户整体美元价值充足,即便用户手中没有足够的ADA,仍可以用USDT作为保证金来交易ADA币本位保证金,这样就避免了上述经典账户情况下部分资产出现浪费的问题。同时在借币模式下,即便某一合约的亏损超过免息额度(例如ADA币本位永续合约亏损超过5000 ADA的免息额度),也不会触发强制换币系统,保证了跨保证金合约套利仓位的安全性。
因为采用跨币种保证金模式,所以在币种折算率上,USDT为1,ADA为0.85,故账户的美元价值=1 *1 *200 +100 *0.85 *1.520 =329.2 USD。
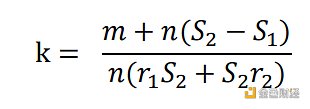
现在我们根据公式来选择适当的杠杆倍数,这里我们忽略减仓手续费,则:

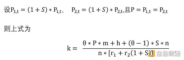
在上式中,m为交易货币(ADA)数量,n为仓位价值,h为USDT数量,θ为折算率,P为交易货币(ADA)现货价格,P1,0代表币本位永续合约开仓价格,P2,0代表USDT永续合约开仓价格,P1,t代表币本位永续合约标记价格,P2,t代表USDT永续合约标记价格,r代表维持保证金率。

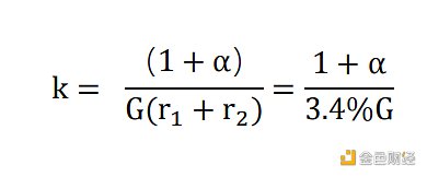
其中,(θ*P*m+h)为开仓前的有效保证金,这是一个固定的值,我们设为2H,为了使的资金利用率**化,在不考虑手续费的情况下,我们将开仓前的有效保证金平均分为两份(在本案例中,每个头寸的初始保证金即164.6 USD),那么此时,仓位=有效保证金/2 *杠杆倍数,即

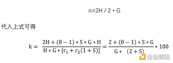
这里我们取θ等于0.85,那么我们可以得到如下三维曲面图。同样地,在使用该策略时,我们先利用插值法获取相应的价格涨跌幅和杠杆设置范围。例如在本节案例中,价格变动幅度在[-30%,30%]内,利用插值法我们可知杠杆设置需在30倍以内。因此,在本案例中,我们将杠杆倍数定在30倍。

另外,对于BTC,ETH这些折算率为1的币种,我们可以将θ设为1(即折算率假设为1)。此时,我们可以得到如下一个简洁的式子,其三维曲面图4所示。

从图中可以看出,杠杆倍数设置越大,资产价格涨幅越高,折算率越低,保证金率越低。

在实际操作中我们通过以下步骤完成该策略套利:
a)根据账户资产数目情况、历史币价情况,利用插值法在三维曲面图中选择适当的杠杆倍数,根据计算我们选择30倍杠杆;为**利用资金,每个头寸采用164.6 USD作为初始保证金;
b)以价值164.6 USD的资产作为初始保证金,30倍杠杆开多ADAUSD永续合约(币本位),仓位价值为4932 USD,此时占用的初始保证金为108.22 ADA;
c)以价值164.6 USD的资产作为初始保证金,30倍杠杆开空ADAUSDT永续合约(USDT保证金),仓位价值为4932 USD,此时占用的初始保证金为164.6 USDT

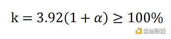
那么该仓位未来爆仓的可能性有多高呢?当G为30时,可以得到:

此时,当S≥42.4%,即ADA价格上涨42.4%时,才会发生爆仓。
综合来看,在跨保证金合约台历策略中,统一账户模式比经典账户模式节省了7.8%的资金量,收益率提升10倍,且爆仓风险减少10%左右。当然,由于本案例针对的是ADA永续合约套利,由于ADA的美元折算率过低(仅为0.85),使得账户的整体美元价值下降,如果交易BTC、ETH等折算率为1的币种合约,那么资金利用率将得到进一步提升。

(三)借币套利策略
1. 核心思想
在统一账户的跨币种保证金—自动借币模式下。当用户的某个币种余额或权益不足,但整体美元价值充足时,也可以超额卖出该币种,并由此产生负债。这本质上是经典账户模式下的币币杠杆交易,并且在免息额度内不会产生利息。

既然在统一账户下可以免息借币,那么我们可以构建一个收益更高借币套利策略,以BTC/USDT交易对为例,具体策略如下:

2. 统一账户下的高收益策略
这里,我们依然以BTC/USDT交易对为例,在初始状态下,若用户的账户中只有USDT币种,且数量为n。 假设某时刻,BTCUSDT永续合约的资金费率gt;交易手续费,那么我们可以进行如下套利操作:
a)在币币(杠杆)交易中超卖BTC,数量为mBTC
b)做多BTCUSDT永续合约,仓位价值也为mBTC,以此实现对冲
在上述操作中有两个隐含的约束条件:首先,BTC的免息数额为1,即m≤1;其次;其次,要借出m BTC,在挂单校验规则下,要求其潜在借币的初始保证金满足以下条件:G*ngt;m*P1,0,这里G为借币的杠杆倍数,P1,0为永续合约开仓价格。
不妨m取**免息额度1,借币杠杆取**值10,可以得到ngt;1%*P1,0,
目前BTC的价格已经达到了5万美元以上,即便我们在超卖BTC时使用10 倍杠杆完成借币,但这要求USDT的实际数量至少要5,000 USDT。
现在我们来计算该策略的有效保证金率,由于



从上我们可以看出,当市场行情不会发生较**动时,只要在第一步成功实现借币,那么上述套利策略就一定不会发生爆仓。
**,我们再来讨论该套利策略的收益情况,因为

这意味着以BTC计价的资金量要求非常小。因此,该套利是存在上限的,且与永续合约的杠杆倍数无关,对于大规模资金的用户并不适用,而对小资金规模的普通用户更为友好。
下面我们看具体的案例:某用户账户**有10,000USDT,在某日,BTC现货价格达到50,000 USD;BTCUSDT永续合约的标记价格也为50,000 USD,当期资金费率为-0.*;此时用户可以超卖BTC,同时做多BTCUSDT永续合约来实现对冲套利,免息获取资金费率。具体操作策略如下所示:
a)在BTC/USDT现货交易中,使用10倍杠杆超卖1BTC,价值50,000 USD,
b)在BTCUSDT永续合约中,我们以10倍杠杆做多 1 BTC
c)因为BTC币种有1BTC的负债,实际是一个仓位价值为1BTC的空头, 同时账户中有一个仓位价值为1BTC的永续合约多头,盈亏可相互抵消
现在我们用数学公式来严格估测该套利策略是否会发生爆仓:将相关参数代入上述公式得:

这意味着,仅当BTC价格上涨到285,714.3 USD,即BTC价格上涨27倍时才会发生爆仓,这基本意味着该策略不会发生爆仓风险。当然,这里我们只是做了估算,考虑到手续费率,实际强平价格可能会更低一些。
**,在进行资金费率结算后,我们仍以50,000 USD作为BTC现货价格和合约标记价格,此时日化收益 =仓位价值 *0.1%/资金成本 =50,000 * 0.1 % / 10,000 =0.5%,即年化收益可达到182.5%。
(四)策略总结
在本文中我们分别介绍了永续-杠杆套利,跨保证金合约套利以及借币套利共三个策略。在实际使用各套利策略时,均遵循以下步骤:
1)根据市场实际情况,确定选用具体的套利策略;
2)根据账户资金和市场情况,作出该策略的三维曲面图,运用插值法确定具体的杠杆倍数及初始保证金的分配;
3)建立多空仓位;
4)获取套利收益后了结头寸

从实际交易效果看,在统一账户模式下,用户的资金效率可优化8%以上,收益率可提升5倍以上,同时爆仓风险可有效下降。当然,本文在手续费率、借币利率等方面多是采用等级较低的用户费率,而对于等级更高的用户,由于可获得更低手续费和借币利率,统一账户下的优化效果会更佳;另一方面,在跨币种保证金中,如果选取一些币种折算率高的资产,那么账户美元价值将更高,资金利用效率也会进一步提高。

需要注意的是,尽管统一账户模式可实现盈亏相抵,使得我们在进行套利时可设置高杠杆来获取收益,但过高的杠杆容易被自动减仓。因此建议用户在进行套利时仍需要酌情设置高杠杆,否则一旦某一头寸仓位被自动减仓,那么套利策略将会失灵,并面临强平风险。此外,针对不同的币种和资金规模,合约和杠杆的梯度档位也不同,在借币限额、仓位数量、初始保证金和杠杆要求等方面有差异,这需要用户根据自己的实际情况进行处理。
**,统一账户所带来的财富机遇,不仅局限于以上三种套利策略,例如网格交易法下的跨期套利策略、Gamma动态对冲策略等,在统一账户下也可实现资金效率的优化、提高收益并显著降低爆仓风险,但限于本文篇幅,未来有机会再一一做介绍。
文章标题:首发 | 欧易OKEX研究院:统一账户套利策略研究
文章链接:https://www.btchangqing.cn/251599.html
更新时间:2021年05月07日
本站大部分内容均收集于网络,若内容若侵犯到您的权益,请联系我们,我们将第一时间处理。