对于比特币市场的投资者和研究者来说,如何合理解释比特币市场巨大的价格波动仍然是一个持续的挑战。其中一个主要原因是,我们在不可量化风险的稳健量化或比特币回报的模糊性方面存在弱点。本文引入行为渠道,将模糊厌恶程度作为比特币市场异常收益的重要来源。利用10年的每日数据,我们发现,平均而言,比特币投资者对模糊性的厌恶程度正在增加。此外,我们发现比特币投资者只有在模糊度较低的情况下才能获得异常收益。稳健性测试验证了我们结果的有效性。中国人民大学金融技术研究所(WeCIDID:RUC)FiTeN技术汇编了该报告的核心部分。
介绍
背景
以比特币为代表的虚拟货币不仅代表着一种新的货币形式的出现,而且代表着一种新的购买商品和服务的支付技术。比特币就是一个不确定性和模糊性的例子。新古典理论无法解释加密货币市场的行为,也没有足够的日常信息来合理证明比特币的巨大价格波动。因此,我们希望从行为金融学的角度来拓展对加密货币市场的认识。我们的实证研究基于Brenner和izhakian(2018),通过严格研究模糊性对特殊货币收益率的影响,填补了文献中的空白。
意义
① 从行为金融学的角度,我们扩展了对加密货币市场的理解,发现模糊性对解释比特币的异常收益起着重要作用。
② 与传统的定性研究不同,本文利用比特币数据探讨了模糊性在加密货币市场中的重要性。
③ 对于投资者来说,这有利于优化投资决策。如果投资者在对系统性风险进行调整后真的能获得风险溢价,那么将他们的财富配置到比特币上是有帮助的。
④ 对于政策制定者来说,虽然在目前的市场条件下,比特币市场基本上是不受监管的,但如果政策制定者未来计划实施这些监管,可以用我们的研究来指导监管。
模糊性度量
模糊性主要是指主体对偶然事件发生可能性的主观认识符合多重概率分布的情况

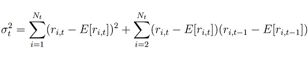
因为σ 可按下式计算:

保持σ 将计算公式代入模糊计算公式,得到模糊计算的最终表达式如下:

数据
数据源
① 从bitcoin.com获取比特币的收盘价、开盘价、***(美元)和交易量
② 从KennETH French的网站上,我们得到了每日市场超额收益率、规Meme子、账面市盈率因子、盈利能力因子、投资因子、动量因子和国债利率数据
③ 从global-Q.org获取Q因子系数数据
④ 从沃顿研究数据服务公司获得CBOE波动率指数
⑤ 从比特币图表中获取比特币5分钟频率数据
数据处理
① 比特币的收益率是通过每日价格变化的百分比来衡量的。
② 比特币的模糊性是以每天5分钟的回报率来衡量的。
实证结果
预期
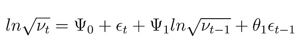
参考Andersen et al.(2003)和Brenner and izhakian(2018),我们使用时间序列自回归移动平均的ARMA(P,q)模和AICC估计的系数来估计基于已实现波动率的预期波动率。

我们也使用ARMA(P,q)来估计期望模糊度,这类似于估计期望波动率的方法。具体来说,我们使用时间序列模估计的系数来估计期望的模糊性的基础上实现的模糊性。

主要实证检验
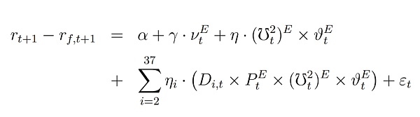
预期概率在0.368到0.768之间。我们把这个区间分成37个等距区间,每个区间为0.01,用I表示。。例如,第一个区间是0.38到0.39,并且一些低于0.38的值也包含在第一个区间中。我们建立的真实模如下:

我们分别检验了OLS和WLS的回归结果。结果表明,在收益率较高的大概率情况下(如I=34),模糊系数显著,表明比特币投资者对模糊性的厌恶程度在增加。
稳健性检验:替代波动性度量
在这里,我们使用替代波动率的措施,而不是预期波动率的回归。具体来说,我们通过以下两个等式来检验歧义的影响。


此外,我们进一步考虑高阶矩的稳健性测试,并研究偏度,峰度和波动性,通过以下方程。

研究表明,不确定性对收益率的影响对于其他风险度量具有重要意义。
稳健性:非结构化风险
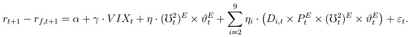
我们考虑另一个离散模,其方程如下:

结果表明,投资者表现出风险偏好行为,并导致正风险溢价。此外,从有利收益大概率框中的模糊系数来看,比特币投资者对模糊性的厌恶程度仍在增加。
结论
投资者总是面临着在已知风险和未知风险之间的选择。因此,模糊厌恶投资者倾向于投资结果的已知概率分布,而不是未知概率分布。本文**研究了模糊性在比特币收益中的重要作用。比特币收益率是近年来引起投资者关注的一种投资组合。由于比特币等虚拟货币不符合传统的资产定价理论,因此无法从理论上(至少部分)预测其收益,因此需要其他工具来描述其收益中观察到的异常现象。我们引入了经典的模糊案例,并利用改进的信息值方法来支持设计,以了解模糊厌恶程度对异常收益率变量的影响。
根据Brenner和izhakian(2018)以及Baker和wulger(2006)提出的方法,我们发现比特币投资者越来越厌恶模糊性,这有助于量化比特币的异常收益程度。此外,我们还考察了模糊条件下比特币收益率的表现。为此,我们采用了几种资产定价模,区分了高模糊期和低模糊期比特币收益率的表现。
这个检验的一个重要发现是,与我们使用的资产价格模相比,比特币投资者在高度模糊的时期获得非常低的异常收益。我们的结果对货币价格波动性的其他度量、决定资产价格的高阶矩(如偏度)以及对模糊性的态度依赖于财富和风险态度的进一步离散模都是稳健的。
以下是文章的部分截图

编译|;叶健
来源|;SSRN公司
作者;Di Luo、Tapas Mishra、Larisa Yarovaya和Zhang Zhang
文章标题:虚拟货币的不确定性与超额收益
文章链接:https://www.btchangqing.cn/278444.html
更新时间:2021年06月11日
本站大部分内容均收集于网络,若内容若侵犯到您的权益,请联系我们,我们将第一时间处理。